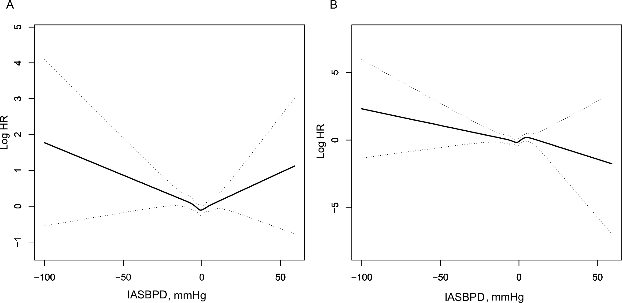
Fig. 1

Smoothing curve showing the effects of IASBPD on risk of all-cause and cardiovascular mortality. A All-cause mortality; B Cardiovascular mortality. IASBPD Inter-arm systolic blood pressure difference, HR hazard ratio. Adjusted for age, body mass index, sex, current smoking, current drinking, estimated glomerular filtration rate, diabetes, antidiabetic treatment, total cholesterol, triglycerides, lipid-lowering treatment, and anti-hypertensive treatment