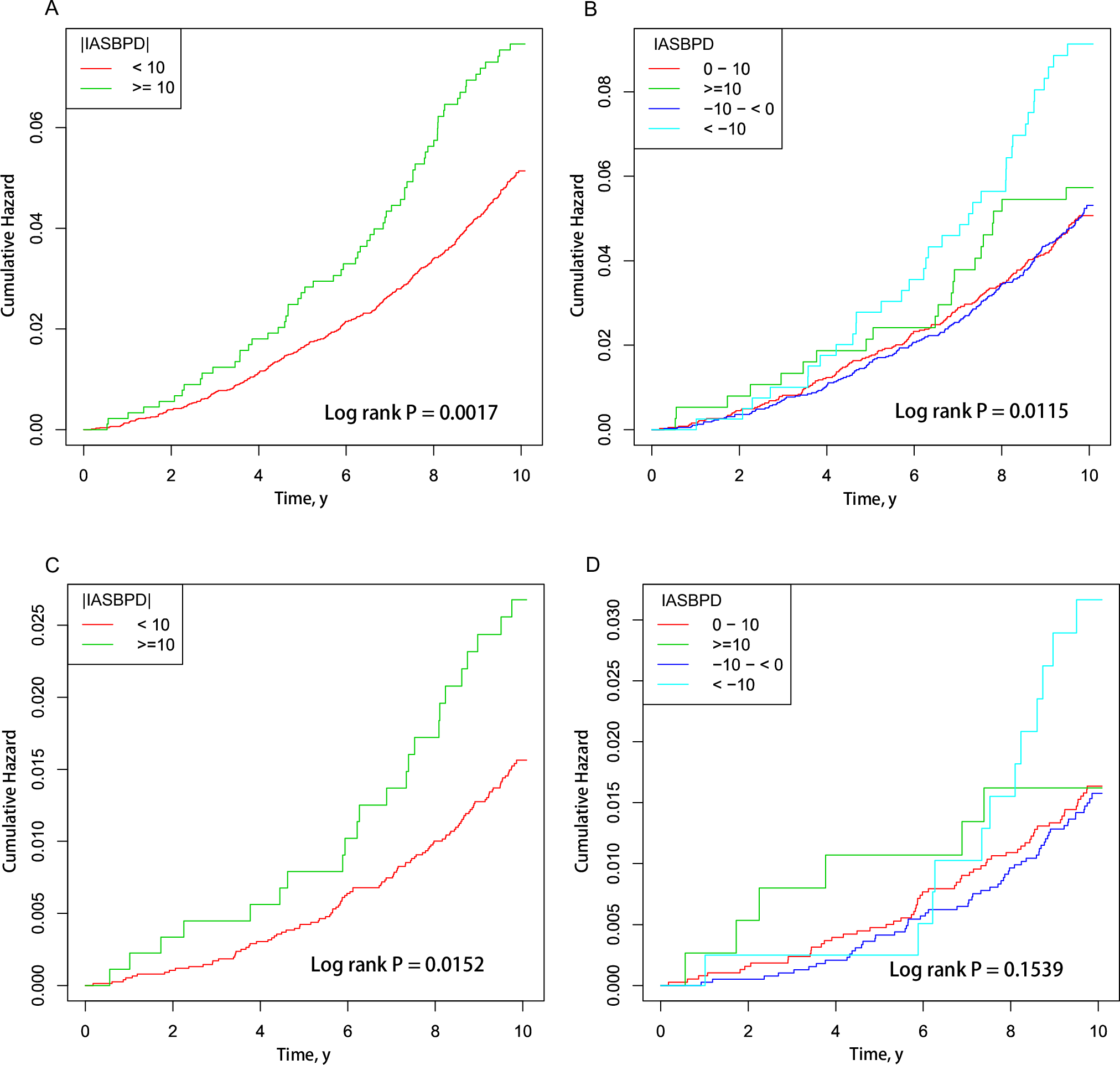
Fig. 2

Kaplan–Meier survival curve for mortality by IASBPD. A Kaplan–Meier survival curve for all-cause mortality was stratified by |IASBPD| (<10 vs. ≥10 mmHg). B Kaplan–Meier survival curve for all-cause mortality was stratified by the four IASBPD groups. C Kaplan–Meier survival curve for cardiovascular mortality stratified by |IASBPD| (<10 vs ≥10 mmHg). D Kaplan–Meier survival curve for cardiovascular mortality stratified by IASBPD four groups. IASBPD, inter-arm systolic blood pressure difference. The P-value obtained using the log-rank test was used for each comparison