Abstract
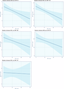
Delayed ejaculation (DE) is among the most challenging male sexual dysfunctions. We aim to explore and compare socio-demographic and clinical characteristics of men with self-reported DE and primary premature ejaculation (PE). Data from 555 consecutive men seeking first medical help for DE or primary PE were retrospectively analyzed. Socio-demographic, clinical, laboratory data, and self-reported symptoms of anxiety and depression were collected. Patients completed International Index of Erectile Function (IIEF) and Beck Depression Inventory (BDI). We excluded men who had undergone pelvic surgery. Descriptive statistics compared clinical and socio-demographic characteristics. Linear regression models tested the association between depressive symptoms and baseline IIEF domain scores among men with DE. Of 555 patients, 479(86.3%) and 76(13.7%) had PE and DE, respectively. Men with DE were significantly older than those with PE [47(34–63.5) vs. 44(33–53), P = 0.01]. Conversely, men with PE depicted a CCI ≥ 1 more frequently compared to those with DE [17(22.4%) vs. 53(11.1%); P = 0.01]. The two groups did not differ regarding relational status, BMI, waist circumference, and hormonal milieu. Men with DE reported more frequently symptoms referable to anxiety and depression (P = 0.001) along with higher median (IQR) baseline BDI scores [8(4.8–14.3) vs. 6(2–10); P = 0.01], lower median IIEF-orgasmic function (OF) [6(5–9) vs. 9(6–10); P = 0.003] and IIEF-sexual desire (SD) [7(5.8–8) vs. 8(6–9); P = 0.001] domain scores compared to men with PE. At linear regression analysis, in men with DE, the higher the BDI score the lower the IIEF-overall satisfaction [β = −1.57, CI(−2.60, −0.53), P = 0.004], and the lower the IIEF-intercourse satisfaction [β = −0.76, CI(−1.29, −0.16), P = 0.01] domain scores. Conversely, no association between BDI and IIEF-OF, -SD, and -erectile function domain scores were found. Of men complaining of ejaculatory disorders, one out of ten reports DE. Patients with DE have higher chances to report clinically significant depression which can significantly impact their overall sexual satisfaction.
This is a preview of subscription content, access via your institution
Access options
Subscribe to this journal
Receive 12 print issues and online access
$259.00 per year
only $21.58 per issue
Buy this article
- Purchase on SpringerLink
- Instant access to the full article PDF.
USD 39.95
Prices may be subject to local taxes which are calculated during checkout

Similar content being viewed by others
Data availability
The data underlying this article will be shared on reasonable request to the corresponding author.
References
Althof SE, McMahon CG. Contemporary management of disorders of male orgasm and ejaculation. Urology. 2016;93:9–21.
Saitz TR, Serefoglu EC. The epidemiology of premature ejaculation. Transl Androl Urol. 2016;5:409–15.
Di Sante S, Mollaioli D, Gravina GL, Ciocca G, Limoncin E, Carosa E, et al. Epidemiology of delayed ejaculation. Transl Androl Urol. 2016;5:541–8.
Serefoglu EC, McMahon CG, Waldinger MD, Althof SE, Shindel A, Adaikan G, et al. An evidence-based unified definition of lifelong and acquired premature ejaculation: report of the second International Society for Sexual Medicine Ad Hoc committee for the definition of premature ejaculation. J Sex Med. 2014;11:1423–41.
El-Hamd MA, Saleh R, Majzoub A. Premature ejaculation: an update on definition and pathophysiology. Asian J Androl. 2019;21:425–32.
Mostafa T, Pinggera GM, Al Hashimi M, Sahin B, Çayan S, Shah R, et al. Global andrology forum clinical practice guidelines on the management of premature ejaculation. World J Mens Health. 2025. https://doi.org/10.5534/wjmh.240260.
Abdo CHN. The impact of ejaculatory dysfunction upon the sufferer and his partner. Transl Androl Urol. 2016;5:460–9.
Rajkumar RP, Kumaran AK. Depression and anxiety in men with sexual dysfunction: a retrospective study. Compr Psychiatry. 2015;60:114–8.
Jern P, Santtila P, Johansson A, Varjonen M, Witting K, Algars M, et al. Indicators of premature ejaculation and their associations with sexual distress in a population-based sample of young twins and their siblings. J Sex Med. 2008;5:2191–201.
Karakeci A, Korkmaz S, Karakoc O, Karakoc AAU, Firdolas F, Pirincci N. Effect of premature ejaculation on depression and sexual functions in female partners: a report from Eastern Turkey. Niger J Clin Pract. 2019;22:1553.
Liu J, Bao T, Wang Q, Jiang H, Zhang X. Stigma and its associations with self-confidence and sexual relations in 4 types of premature ejaculation. Basic Clin Androl. 2024;34:11.
Laumann EO, West S, Glasser D, Carson C, Rosen R, Kang JH. Prevalence and correlates of erectile dysfunction by race and ethnicity among men aged 40 or older in the United States: from the male attitudes regarding sexual health survey. J Sex Med. 2007;4:57–65.
Hartmann U, Waldinger MD. Treatment of delayed ejaculation. In: Leiblum SR, Rosen RC, editors. Principles and practice of sex therapy. 4th ed. New York, NY: The Guildford Press; 2007. pp. 241–76.
Charlson ME, Pompei P, Ales KL, MacKenzie CR. A new method of classifying prognostic comorbidity in longitudinal studies: development and validation. J Chronic Dis. 1987;40:373–83.
Rosen RC, Riley A, Wagner G, Osterloh IH, Kirkpatrick J, Mishra A. The international index of erectile function (IIEF): a multidimensional scale for assessment of erectile dysfunction. Urology. 1997;49:822–30.
D’Elia C, Cerruto MA, Cavicchioli FM, Cardarelli S, Molinari A, Artibani W. Critical points in understanding the Italian version of the IIEF 5 questionnaire. Arch Ital Urol Androl. 2012;84:197–201.
Beck AT, Ward CH, Mendelson M, Mock J, Erbaugh J. An inventory for measuring depression. Arch Gen Psychiatry. 1961;4:561–71.
Sica C, Ghisi M. The Italian versions of the Beck Anxiety Inventory and the Beck Depression Inventory-II: psychometric properties and discriminant power. In: Moult ME, editor. Leading-edge psychological tests and testing research. Hauppauge, NY: Nova Science Publishers; 2007, pp. 27–50.
Maggi G, D’Iorio A, Aiello EN, Poletti B, Ticozzi N, Silani V, et al. Psychometrics and diagnostics of the Italian version of the Beck Depression Inventory-II (BDI-II) in Parkinson’s disease. Neurol Sci. 2023;44:1607–12.
Althof SE, McMahon CG, Waldinger MD, Serefoglu EC, Shindel AW, Adaikan PG, et al. An update of the International Society of Sexual Medicine’s guidelines for the diagnosis and treatment of premature ejaculation (PE). J Sex Med. 2014;11:1392–422.
Minhas S, Boeri L, Capogrosso P, Cocci A, Corona G, Dinkelman-Smit M, et al. European association of urology guidelines on male sexual and reproductive health: 2025 update on male infertility. Eur Urol. 2025;87:601–16.
Sansone A, Aversa A, Corona G, Fisher AD, Isidori AM, La Vignera S, et al. Management of premature ejaculation: a clinical guideline from the Italian Society of Andrology and Sexual Medicine (SIAMS). J Endocrinol Invest. 2021;44:1103–18.
DSM Library. Diagnostic and statistical manual of mental disorders. 5th Edn. Available from: https://psychiatryonline.org/doi/book/10.1176/appi.books.9780890425787.
Vermeulen A, Verdonck L, Kaufman JM. A critical evaluation of simple methods for the estimation of free testosterone in serum. J Clin Endocrinol Metab. 1999;84:3666–72.
Corona G, Rastrelli G, Limoncin E, Sforza A, Jannini EA, Maggi M. Interplay between premature ejaculation and erectile dysfunction: a systematic review and meta-analysis. J Sex Med. 2015;12:2291–300.
Cilio S, Pozzi E, Fallara G, Belladelli F, Corsini C, d’Arma A, et al. Premature ejaculation among men with erectile dysfunction-findings from a real-life cross-sectional study. Int J Impot Res. 2023;35:558–63.
Boeri L, Pozzi E, Belladelli F, Cattafi F, Cilio S, Bertini A, et al. The clinical profile of men with premature ejaculation at presentation has changed over the last fifteen years: picture from a longitudinal study. Int J Impot Res. 2025. https://doi.org/10.1038/s41443-025-01013-w.
Abdel-Hamid IA, Ali OI. Delayed ejaculation: pathophysiology, diagnosis, and treatment. World J Mens Health. 2018;36:22–40.
Corona G, Jannini EA, Lotti F, Boddi V, De Vita G, Forti G, et al. Premature and delayed ejaculation: two ends of a single continuum influenced by hormonal milieu. Int J Androl. 2011;34:41–8.
Xia JD, Han YF, Pan F, Zhou LH, Chen Y, Dai YT. Clinical characteristics and penile afferent neuronal function in patients with primary delayed ejaculation. Andrology. 2013;1:787–92.
Brotto L, Atallah S, Johnson-Agbakwu C, Rosenbaum T, Abdo C, Byers ES, et al. Psychological and interpersonal dimensions of sexual function and dysfunction. J Sex Med. 2016;13:538–71.
Blanker MH, Bohnen AM, Groeneveld FP, Bernsen RM, Prins A, Thomas S, et al. Correlates for erectile and ejaculatory dysfunction in older Dutch men: a community-based study. J Am Geriatr Soc. 2001;49:436–42.
Perelman MA. A new combination treatment for premature ejaculation: a sex therapist’s perspective. J Sex Med. 2006;3:1004–12.
Rowland DL, Keeney C, Slob AK. Sexual response in men with inhibited or retarded ejaculation. Int J Impot Res. 2004;16:270–4.
Rowland D, van Diest S, Incrocci L, Slob AK. Psychosexual factors that differentiate men with inhibited ejaculation from men with no dysfunction or another sexual dysfunction. J Sex Med. 2005;2:383–9.
Apfelbaum, B. Retarded ejaculation: a much mis- understood syndrome. In: Leiblum SR, Rosen RC, Editors. Principles and practice of sex therapy. 3rd ed. The Guildford Press; 2000, pp. 205–42.
Rowland DL, Attinger DR, Morrow AL, Motofei I, Hevesi K. Characteristics of men who report symptoms of delayed ejaculation: providing support for empirically derived diagnostic criteria. J Sex Med. 2023;20:426–38.
Sandström E, Fugl-Meyer KS. When ejaculation becomes the goal in itself: a psychodynamic approach to delayed ejaculation. Am J Mens Health. 2021;15:15579883211014774.
Abdel-Hamid IA, Saleh ES. Primary lifelong delayed ejaculation: characteristics and response to bupropion. J Sex Med. 2011;8:1772–9.
Kernberg O. Love relations – Normality and pathology. New Haven: Yale University Press; 1988.
Althof SE. Psychological interventions for delayed ejaculation/orgasm. Int J Impot Res. 2012;24:131–6.
Author information
Authors and Affiliations
Contributions
FN contributed to the acquisition and interpretation of data, and to drafting the manuscript. CC contributed to the conception and design of the study, acquisition of data, statistical analysis and interpretation of data, and editing the manuscript. EP contributed to the acquisition of data. MR contributed to the acquisition of data. AB contributed to the acquisition of data. GB contributed to the acquisition of data. Ad contributed to project administration. LB contributed to the acquisition of data. FM contributed to validation and critical revision of the manuscript. MLE contributed to critical revision of the manuscript. AS contributed to the conception and design of the study, supervision, validation, editing and critical revision of the manuscript. All co-authors approved the final version of the manuscript.
Corresponding author
Ethics declarations
Competing interests
Dr. Edoardo Pozzi and Dr. Luca Boeri are currently Associate Editor for the International Journal of Impotence Research.
Ethical approval
The Institutional Review Board approved the study (Authorization Protocol URI001-2010, further amended in December 2015 by the Ethic Committee – ‘Observational Study on the Quality of Life of Outpatients’ NCT06181851).
Additional information
Publisher’s note Springer Nature remains neutral with regard to jurisdictional claims in published maps and institutional affiliations.
Rights and permissions
Springer Nature or its licensor (e.g. a society or other partner) holds exclusive rights to this article under a publishing agreement with the author(s) or other rightsholder(s); author self-archiving of the accepted manuscript version of this article is solely governed by the terms of such publishing agreement and applicable law.
About this article
Cite this article
Negri, F., Corsini, C., Pozzi, E. et al. Men with delayed ejaculation report lower sexual satisfaction and more depressive symptoms than those with premature ejaculation: findings from a cross-sectional study. Int J Impot Res (2025). https://doi.org/10.1038/s41443-025-01131-5
Received:
Revised:
Accepted:
Published:
Version of record:
DOI: https://doi.org/10.1038/s41443-025-01131-5
This article is cited by
-
Response to comment on: Men with delayed ejaculation report lower sexual satisfaction and more depressive symptoms than those with premature ejaculation: findings from a cross-sectional study
International Journal of Impotence Research (2026)
-
Comment on: Men with delayed ejaculation report lower sexual satisfaction and more depressive symptoms than those with premature ejaculation: findings from a cross-sectional study
International Journal of Impotence Research (2025)


