Fig. 3
From: Establishing and storing of deterministic quantum entanglement among three distant atomic ensembles

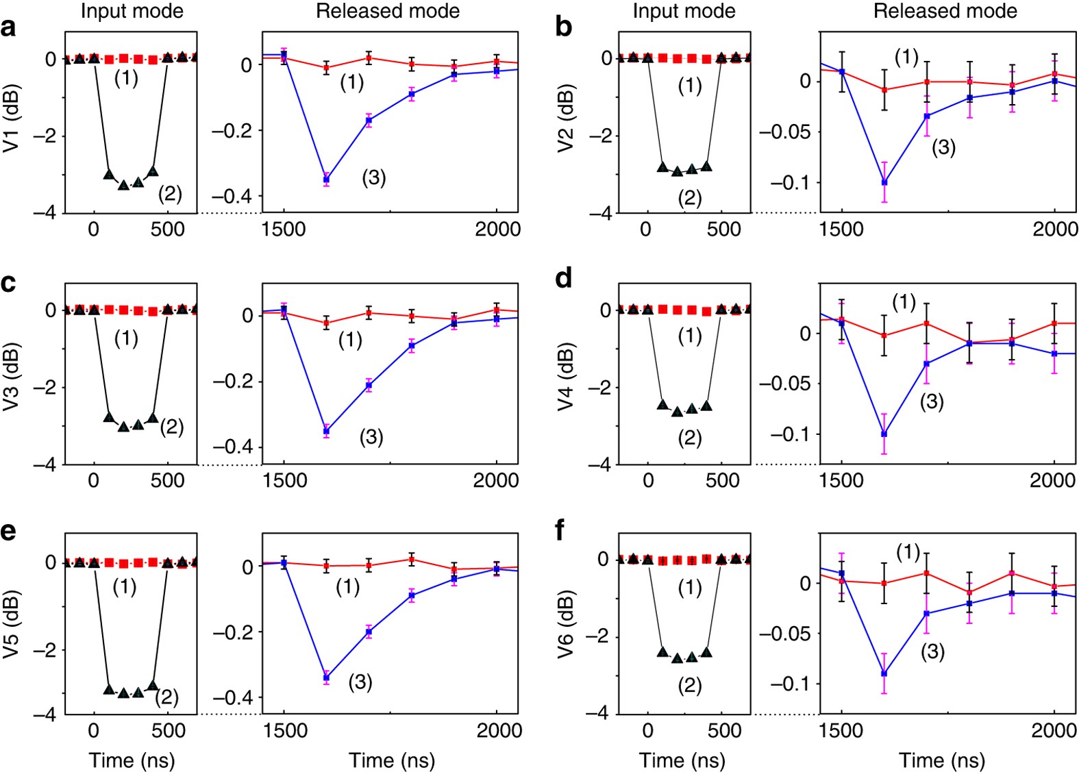
Measured normalized correlation variances of input and released optical submodes. Trace (1) is the vacuum noise level. Trace (2) is the correlation variances of the original input optical submodes. a V1 \(( {\langle {{\delta ^2}( {\hat X{{(0)}_{{\rm{L2}}}} - \hat X{{(0)}_{{\rm{L3}}}}})} \rangle })\), b V2 \(( {\langle {{\delta ^2}( {g_{{\rm{L1}}}^{{\rm{opt}}}\hat P{{(0)}_{{\rm{L1}}}} + \hat P{{(0)}_{{\rm{L2}}}} + \hat P{{(0)}_{{\rm{L3}}}}})}\rangle })\), c V3 \(( {\langle {{\delta ^2}( {\hat X{{(0)}_{{\rm{L1}}}} - \hat X{{(0)}_{{\rm{L3}}}}})}\rangle })\), d V4 \(( {\langle {{\delta ^2}( {\hat P{{(0)}_{{\rm{L1}}}} + g_{{\rm{L2}}}^{{\rm{opt}}}\hat P{{(0)}_{{\rm{L2}}}} + \hat P{{(0)}_{{\rm{L3}}}}})}\rangle })\), e V5 \(( {\langle {{\delta ^2}( {\hat X{{(0)}_{{\rm{L1}}}} - \hat X{{(0)}_{{\rm{L2}}}}})}\rangle })\), f V6 \(( {\langle {{\delta ^2}( {\hat P{{(0)}_{{\rm{L1}}}} + \hat P{{(0)}_{{\rm{L2}}}} + g_{{\rm{L3}}}^{{\rm{opt}}}\hat P{{(0)}_{{\rm{L3}}}}})}\rangle })\). Trace (3) is corresponding correlation variances of released optical submodes after a storage time of 1000 ns. Error bars represent ±1 standard error and are obtained with the statistics of the measured correlation variances