Fig. 2
From: Mechanocaloric effects in superionic thin films from atomistic simulations

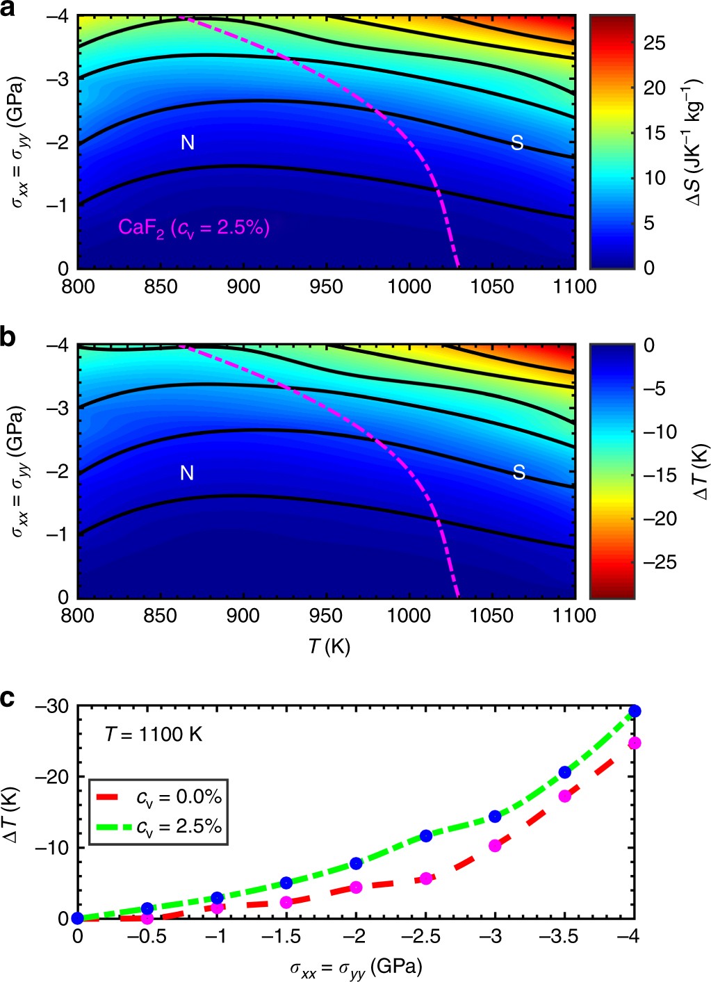
Effects of vacancies on the mechanocaloric performance of type-II superionic thin films. Isothermal entropy a and adiabatic temperature b shifts calculated in defective CaF2 (c v = 2.5%) as a function of temperature and applied biaxial tensile stress. N and S denote normal and superionic states and the magenta dashed line depicts the boundary between them. c Comparison of the adiabatic temperature shifts calculated in perfect and defective CaF2 thin films as a function of biaxial stress at a fixed temperature of 1100 K. Lines in c are guides to the eye