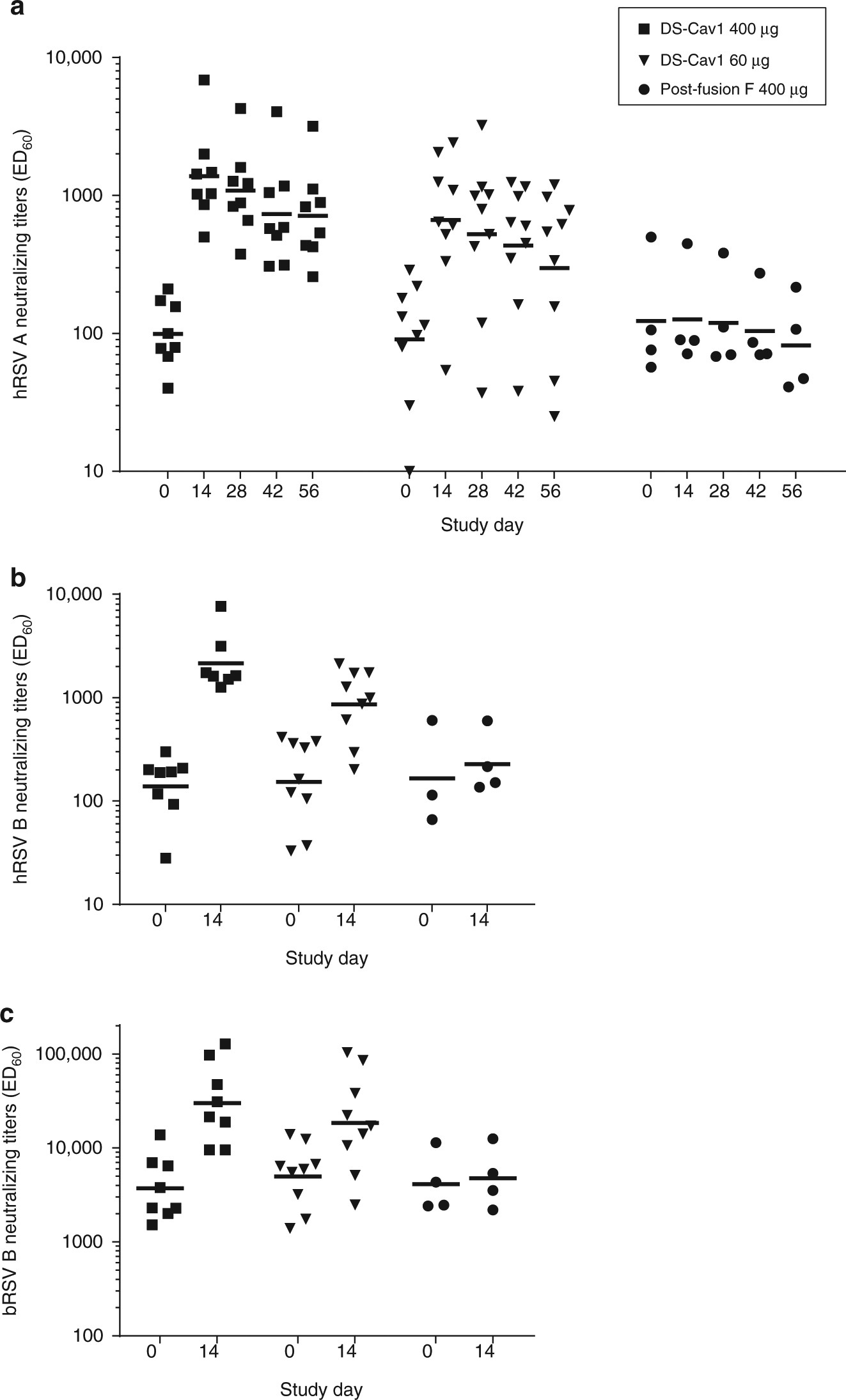
Fig. 3

hRSV A (a), hRSV B (b) and bRSV (c) neutralizing antibody titers after vaccination with a single dose of non-adjuvanted proteins. Horizontal bars indicate the geometric mean titer (GMT) at each time point. One animal in the high dose DS-Cav1 group did not respond to the vaccine and was excluded from the graphs