Fig. 3

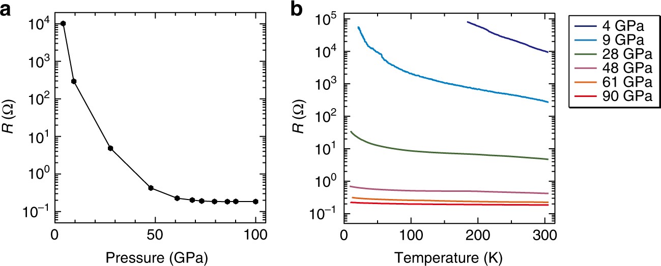
Electrical resistance for SrVO2H under pressure. a Pressure dependence of resistance R at 300 K (sample SrVO2H-B). b Temperature dependence of resistance R at various pressures

Electrical resistance for SrVO2H under pressure. a Pressure dependence of resistance R at 300 K (sample SrVO2H-B). b Temperature dependence of resistance R at various pressures