Fig. 5
From: Evolution of Weyl orbit and quantum Hall effect in Dirac semimetal Cd3As2

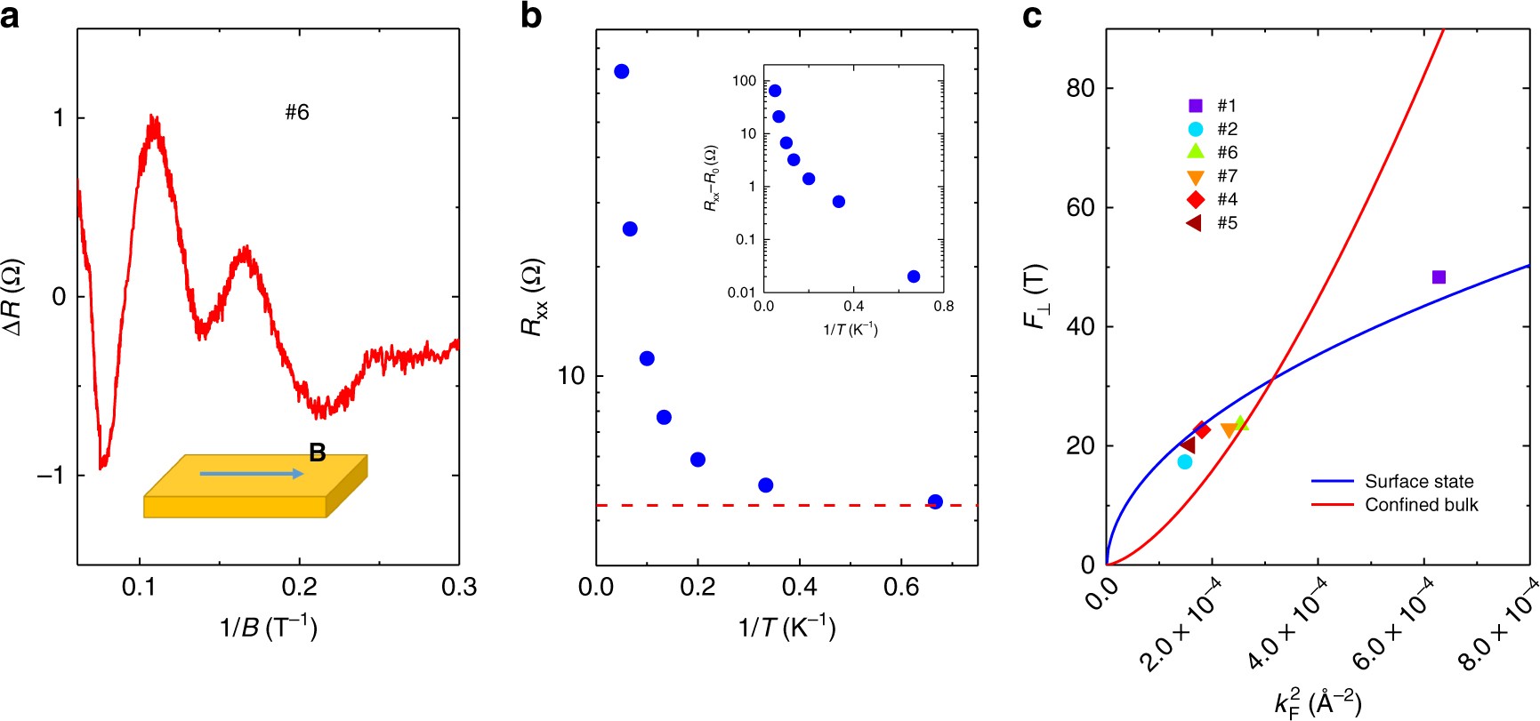
Energy dependence of SdH oscillation frequency. a The extracted SdH oscillations with in-plane magnetic field in sample #6, indicating the existence of 3D bulk states. b The resistance minima of \(\nu = 10\) in sample #6 at different temperatures. It gradually deviates from the thermal activation behavior and becomes saturated toward zero temperature. The inset of b is the resistance minimum value with the residue subtracted. c The relation of the oscillation frequency \({F_ \bot }\) with out-of-plane magnetic field (θ = 0°) and the square of bulk Fermi wave vector \(k_{\rm{F}}^2\). The blue and red curves describe two predicted relations between \(k_{\rm{F}}^2\) and \({F_ \bot }\) based on the surface-state and confined-bulk-state scenarios, respectively