Fig. 3
From: Virtual photons in the ground state of a dissipative system

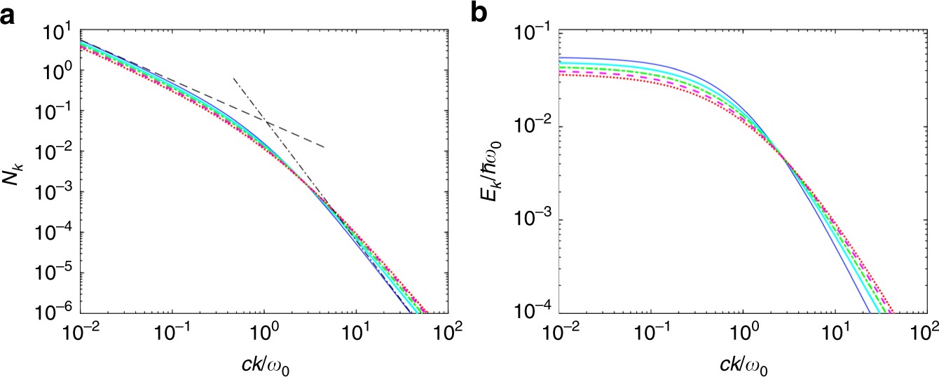
Virtual photons in the detuned Lorentz model. a Number of virtual photons in the ground state as a function of the photonic wavevector for ω c = 0.5ω 0 and different values of the losses. The black dashed and dash-dotted lines are the small and large k expansions. b Photonic energy per mode \(E_k = \hbar ckN_k\) as a function of the photonic wavevector for ω c = 0.5ω 0 and different values of the losses. In both images γ L = 0 (thin blue line), 0.5ω 0 (solid cyan line), ω 0 (dash-dotted green line), 1.5ω 0 (dashed magenta line) and 2ω 0 (dotted red line)