Fig. 2
From: Natural variation of YELLOW SEEDLING1 affects photosynthetic acclimation of Arabidopsis thaliana

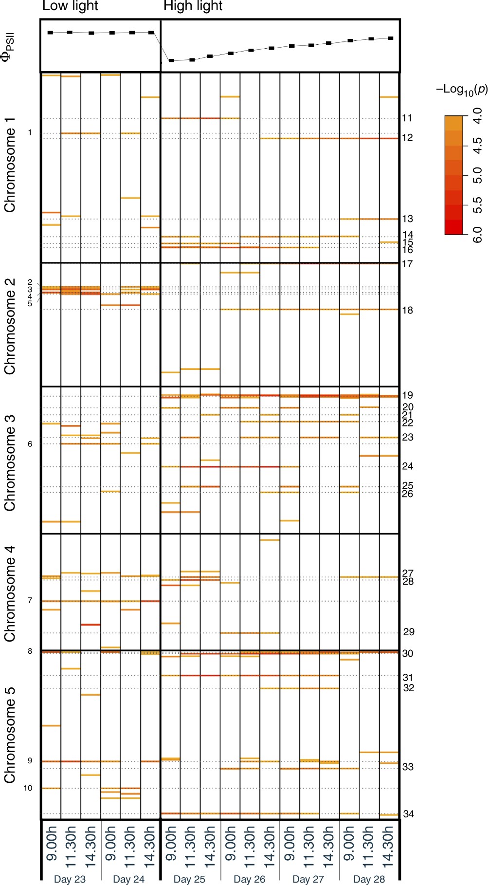
Heat map of SNP–ФPSII association strengths as identified upon GWAS. A genome-wide association study (GWAS) of ФPSII is performed, before and after an increase in growth irradiance, based on a panel of 344 Arabidopsis accessions. Plant ФPSII (shown for Col-0 in the left panel) is measured three times per day, two days in low light (100 µmol m−2 s−1) and four days in high light (550 µmol m−2 s−1), as indicated in the right panel. The first measurement each day is taken 1 h after the beginning of the photoperiod. SNP–ФPSII association strengths are reported as −log10(p) values. The five Arabidopsis chromosomes are presented according to their physical size. Quantitative trait loci are numbered, 1–34. 1–10 are low-light specific, 11–34 are high-light specific