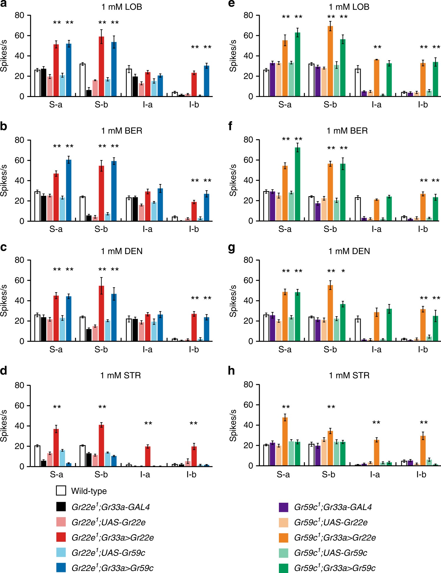
Fig. 4
From: Heterogeneity in the Drosophila gustatory receptor complexes that detect aversive compounds

Functional redundancy of Gr22e and Gr59c. Mean responses in flies of the indicated genotypes evoked by 1 mM stimulations with LOB a, e, BER b, f, DEN c, g, or STR d, h. n = 6–69. ANOVAs followed by Tukey or Dunnett T3 post hoc tests or Kruskal−Wallis tests followed by Mann−Whitney U post hoc tests as appropriate. All data are presented as means ± S.E.M. The asterisks indicate statistically significant differences (*p < 0.05, **p < 0.01) from wild-type flies. Complete genotypes are listed in Supplementary Table 6