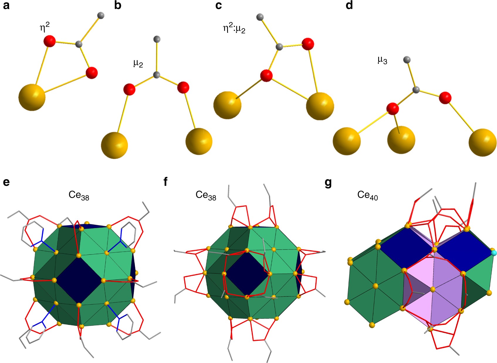
Fig. 2
From: Atomically-precise colloidal nanoparticles of cerium dioxide

Ligand binding modes on the surface of ceria nanoclusters. The different binding modes of surface carboxylate and pyridine groups in 1–3: a chelating (η 2); b µ2-bridging; c η 2-chelating and µ2-bridging; d µ3-bridging; e Ce38 (2) showing terminal pyridines ‘capping’ (binding to the center of) the (111) hexagons, and µ2-carboxylates bridging edges joining two (111) facets; f Ce38 (2) showing η 2:μ2-carboxylates at edges joining (100) and (111) facets; and g Ce40 (3) showing η 2:μ2- and μ3-carboxylates on edges of (110) facets, and µ2-carboxylates bridging edges joining (110) and (111) facets. Colour code: CeIV gold, CeIII sky-blue, O red, N blue, C grey, (100) facets dark blue; (110) facets violet; (111) facets green