Fig. 5
From: Surface plasmon induced direct detection of long wavelength photons

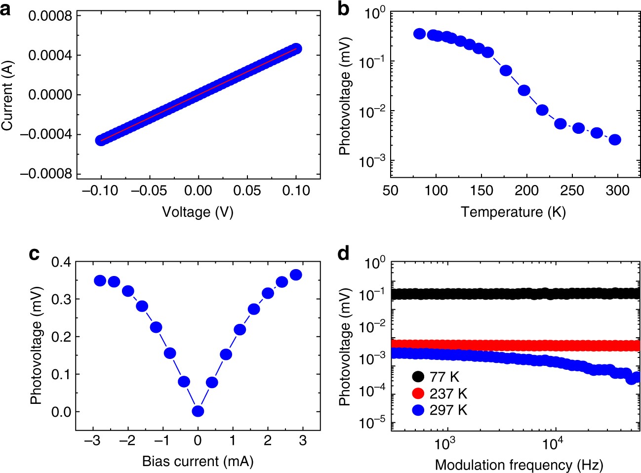
Temperature effects on the performance of the device with s = 90 µm. a Current–voltage (I–V) curve at 77 K. b Photovoltage as a function of temperature for source power 25 mW and photon energy 0.151 meV. c Photovoltage as a function of bias current at 77 K. d Photovoltage–frequency relations at three temperatures. The black, red, and blue dots correspond to 77, 237, and 297 K, respectively