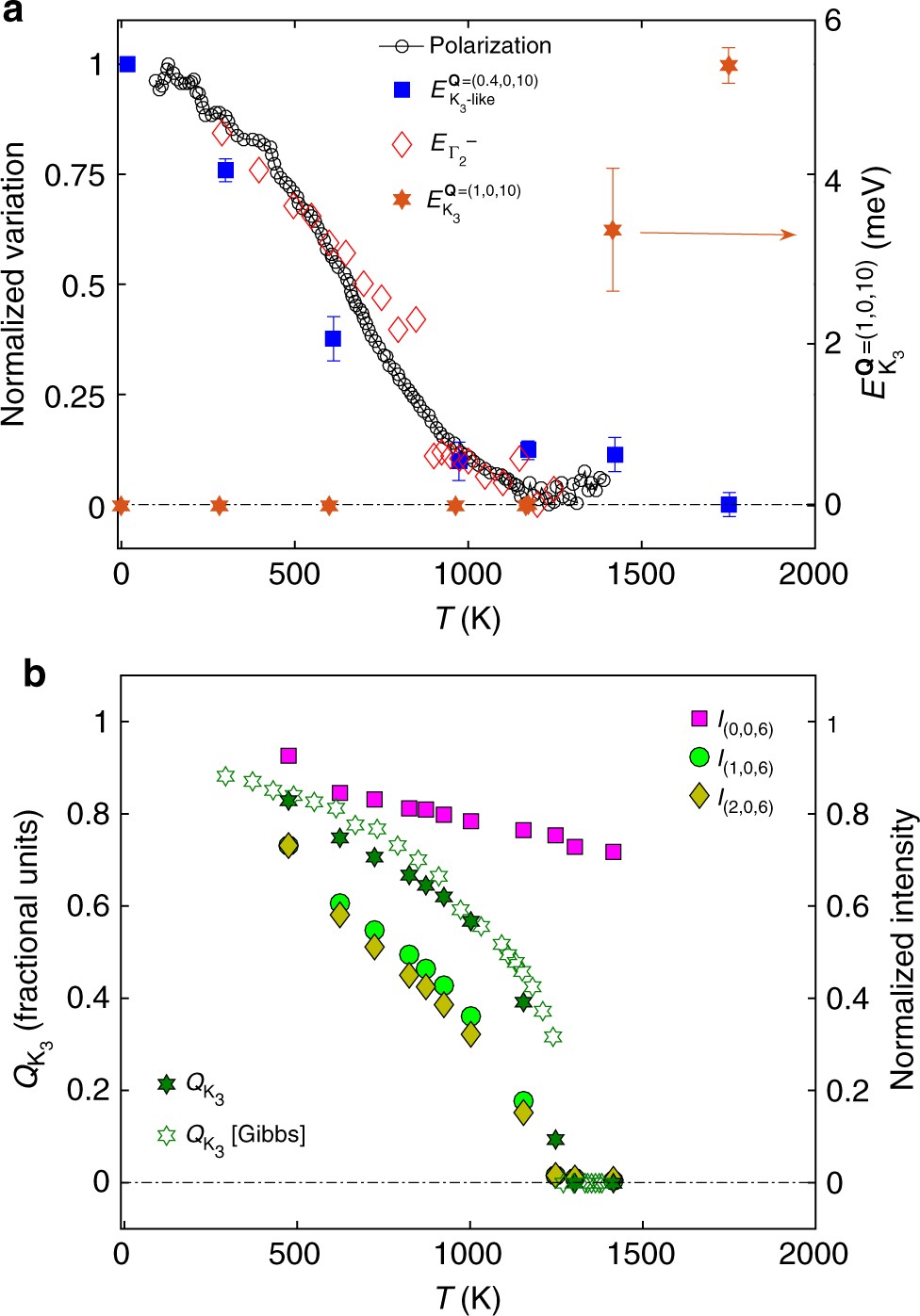
Fig. 5

Lattice distortion, dynamics, and polarization. a Normalized variation of polarization, and phonon energy of (0.4, 0, 10) and \({\mathrm{\Gamma }}_2^ -\) mode of YMnO3 as a function of temperature. On the right side y-axis, we show the phonon energy of the K3 mode as a function of temperature extracted by fitting the constant-Q scan at (1, 0, 10)—K point of the PE phase. K3 mode condenses at T FE, and becomes a Bragg peak in the FE phase. The phonon energy at Q = (0.4, 0, 10) corresponds to stiffening of the TA mode from continuation of the K3-like distortion in the FE phase. The T-dependence of P and \(E_{{\mathrm{\Gamma }}_2^ - }\) is taken from Fig. 1b in ref. 33, and Fig. 4b (labeled as A 1(TO 4)) in ref. 34, respectively, while the T-dependence of \(E_{{\mathrm{K}}_{\mathrm{3}} - {\mathrm{like}}}^{{\mathbf{Q}} = (0.4,0,10)}\) is extracted from fitting the TA phonon peak as shown in Supplementary Fig. 2h. The data have been normalized between 0 and 1 using \(x_{\mathrm{nor}} = \frac{{x - {\mathrm{min}}(x)}}{{{\mathrm{max}}(x) - {\mathrm{min}}(x)}}\). All error bars are one standard deviation on either side of the peak value. b Normalized integrated Bragg intensity of (0, 0, 6), (1, 0, 6), and (2, 0, 6) peaks as observed at multiple temperatures using HB-3 triple-axis spectrometer, and amplitude of the K3 distortion, \(Q_{{\mathrm{K}}_3}\), compared with experimental measurements of Gibbs et al.31 The intensity of Bragg peaks (1, 0, 6) and (2, 0, 6) is normalized to 0.73 (factor obtained from polarization value at T = 473 K in Fig. 5a). Error bars are smaller than the size of markers