Fig. 2
From: How to probe the spin contribution to momentum relaxation in topological insulators

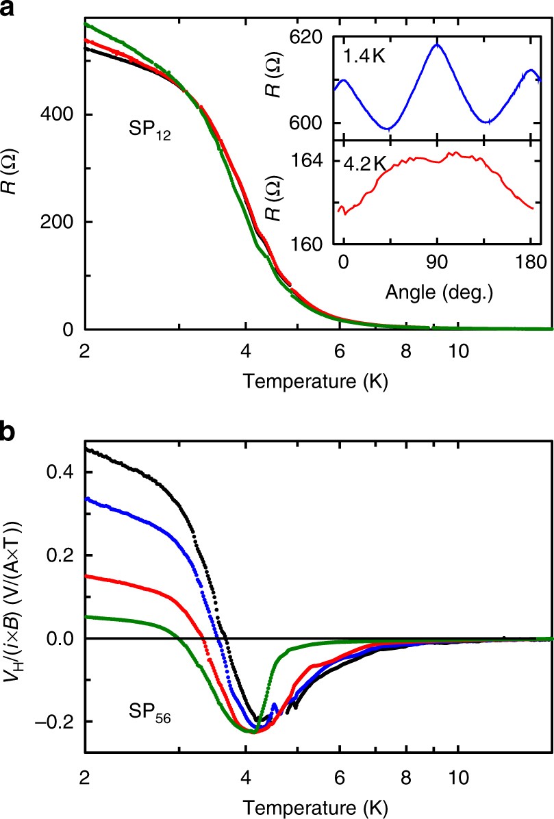
Electrical transport properties of pristine SmB6 samples. a Resistance R xx as a function of temperature in magnetic fields of 0 T (black), 6 T (red), and 15 T (green). In the high-temperature regime above 5 K the bulk dominates transport; at low temperatures below about 3 K, the surface dominates. Inset: angle dependence of the 15 T magnetoresistance in the low-temperature regime (upper, blue) and at intermediate temperatures (lower, red) showing the difference in the forms of the magnetoresistance characteristic of surface-dominated and bulk-dominated transport. b The Hall effect VH as a function of temperature in magnetic fields of 1 T (black), 2 T (blue), 6 T (red), and 15 T (green). The codes SP12 and SP56 indicate the particular sample and voltage contact configurations reported; see Fig. 1c for details of all samples