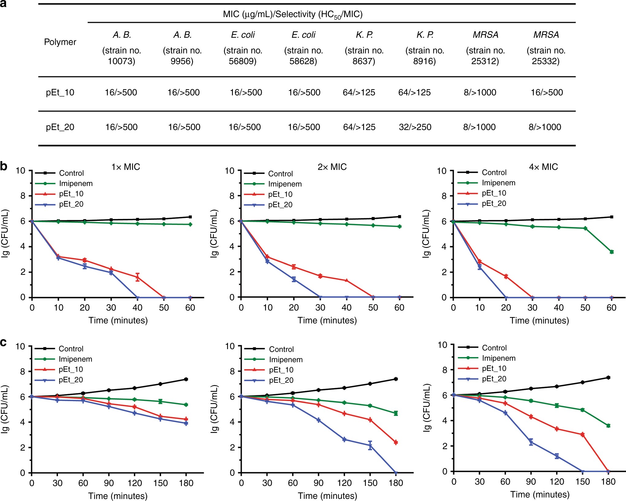
Fig. 3

Antibacterial activity of guanidinium-functionalized polycarbonates. a MIC and selectivity (HC50/MIC) of polymers against clinically isolated multidrug-resistant bacteria (A. B.: A. baumannii; K. P.: Klebsiella pneumoniae; MIC of R10 and R20: >512 µg/mL against all the strains of bacteria tested); b killing kinetics of A. baumannii 10073 at different concentrations as specified; c killing kinetics of E. coli 56809 at different concentrations as specified. The antibiotic imipenem did not exert significant bactericidal activity against A. baumannii and E. coli after 1 and 3 h treatment, respectively, while the polymers eradicated the bacteria rapidly. An increased polymer concentration led to faster killing efficiency. Error bars represent s.d. for n = 3