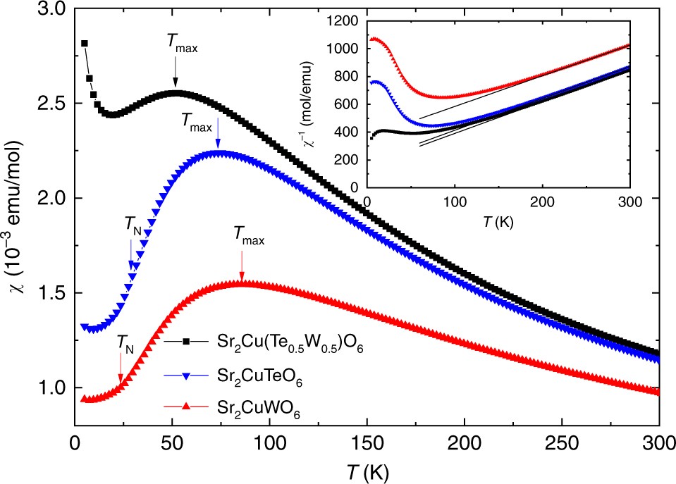
Fig. 2

Magnetic susceptibility. DC magnetic susceptibility of Sr2Cu(Te0.5W0.5)O6, Sr2CuTeO6 and Sr2CuWO6 measured in a 1 T field. Néel temperatures of Sr2CuTeO6 and Sr2CuWO6 are marked with TN, whereas the position of the maximum in magnetic susceptibility is marked with Tmax. Zero-field cooled and field cooled curves fully overlap and only the former is shown. Inset: Inverse magnetic susceptibility and fits to Curie–Weiss law