Fig. 2
From: Universality in volume-law entanglement of scrambled pure quantum states

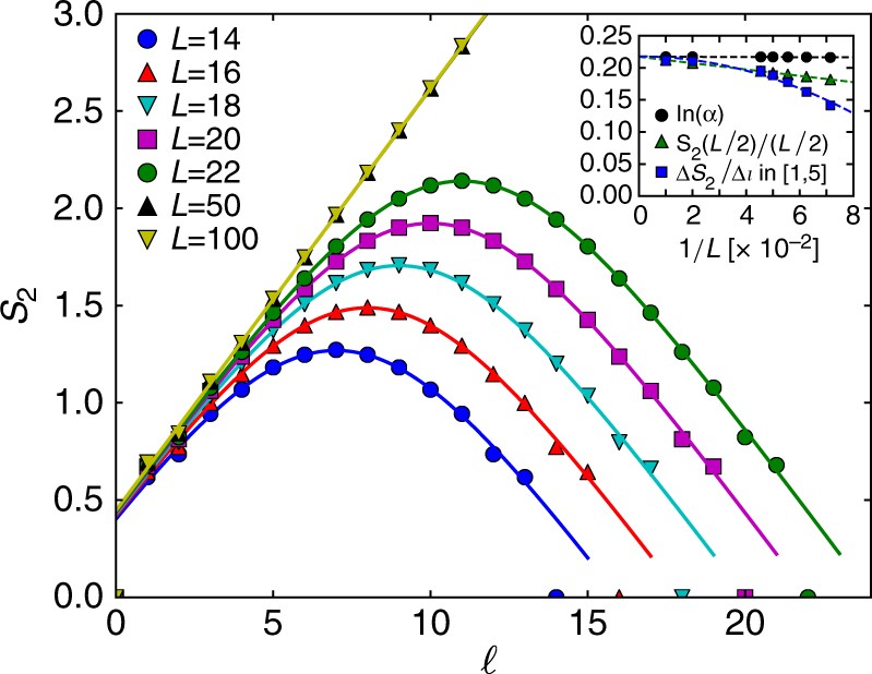
Second Rényi Page curve in cTPQ states. The dots represent the second Rényi Page curves in the cTPQ states of the spin system (9) at an inverse temperature β = 4 calculated by Eq. (3) for various system sizes L. The lines are the fits by Eq. (5) for the numerical data. The inset shows the fitted values of ln a, S2(L/2)/(L/2), and the average slope of the curve between \(\ell {\mathrm{ = }}1\) and \(\ell {\mathrm{ = }}5\). The dotted lines are the extrapolations to L → ∞ by 1/L scaling for ln a and S2(L/2)/(L/2) and by 1/L2 scaling for the average slope