Fig. 2
From: Spin-lattice decoupling in a triangular-lattice quantum spin liquid

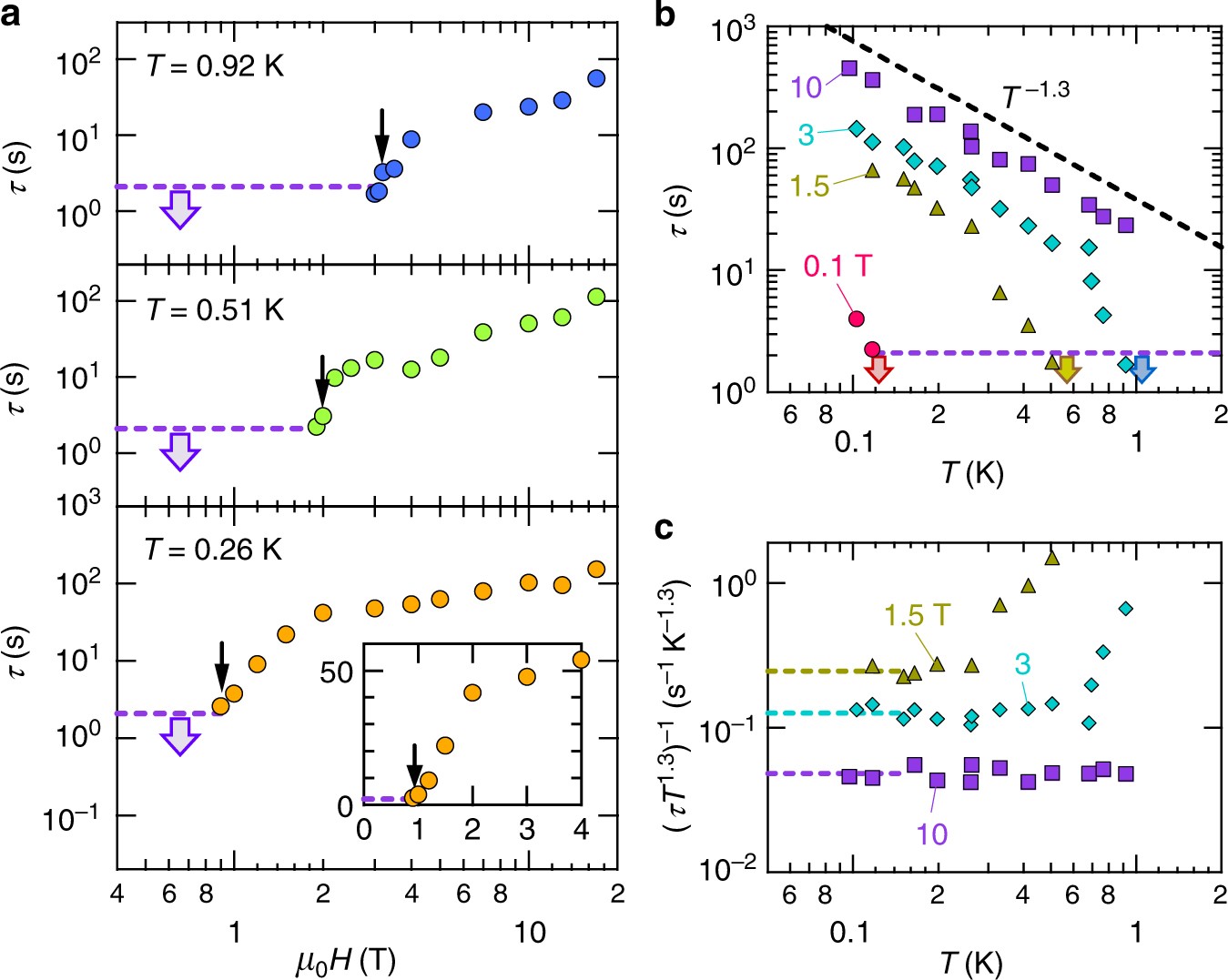
Magnetic field and temperature dependence of the relaxation time. a Magnetic-field dependence of the relaxation time, τ, for the spin heating at various temperatures. The dashed line represents constant τ of 2.1 s. At low fields, τ is shorter than 2.1 s (thick arrows). The thin arrows indicate the onset field of the τ increase, H*, which is determined based on the linear-scale plot, shown in the inset. b Temperature variation in τ for the spin heating at various magnetic fields. The black- and purple-dashed lines denote the power-law behavior with an exponent of −1.3, and constant τ of 2.1 s, respectively. At each field, τ is shorter than 2.1 s above the temperature indicated by the thick arrows. c Temperature dependence of (τT1.3)−1 at various magnetic fields. The dashed line represents a zero-temperature extrapolation of the low-temperature data, \((\tau T^{1.3})_0^{ - 1}\)