Fig. 1
From: Cellular conditions of weakly chelated magnesium ions strongly promote RNA stability and catalysis

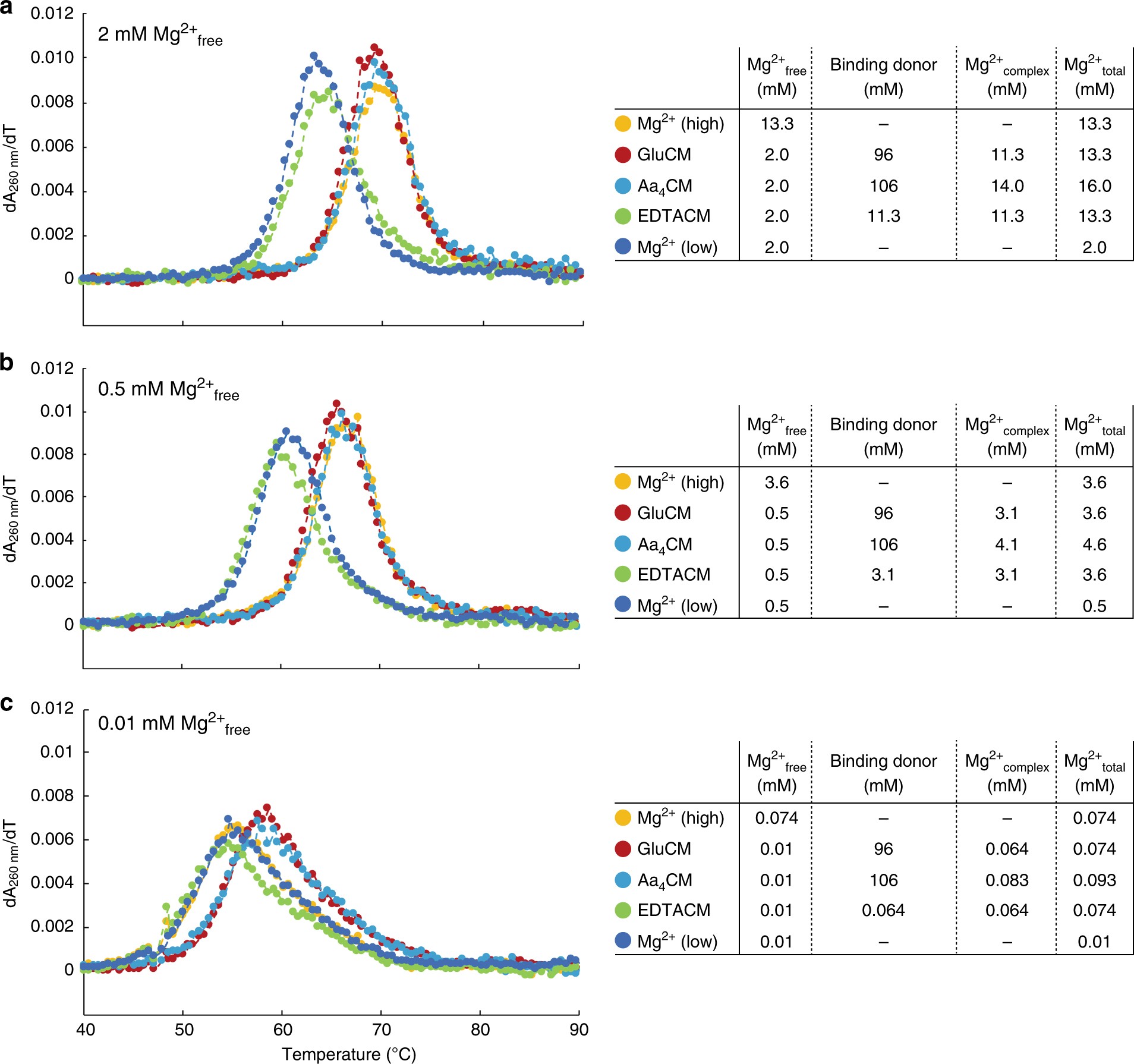
Amino acid-chelated magnesium promotes RNA thermostability. a Melting curves of drz-spur-3 ribozyme in bacterial conditions; 13.3 mM Mg2+total (orange: Mg2+ high), 96 mM glutamate and 13.3 mM Mg2+total (red: GluCM), 106 mM amino acids and 16.0 mM Mg2+total (cyan: Aa4CM), 11.3 mM EDTA and 13.3 mM Mg2+total (green: EDTACM), and 2 mM Mg2+total (blue: Mg2+ low). b, c Melting curves in b eukaryotic conditions and c 0.01 mM Mg2+free condition, chosen to test Mg2+ sensitivity. The same colors as a indicate the same concentrations of the binding donors with different total magnesium concentrations (3.6 mM, 4.6 mM, or 0.5 mM, and 0.074 mM, 0.093 mM, or 0.01 mM, respectively)