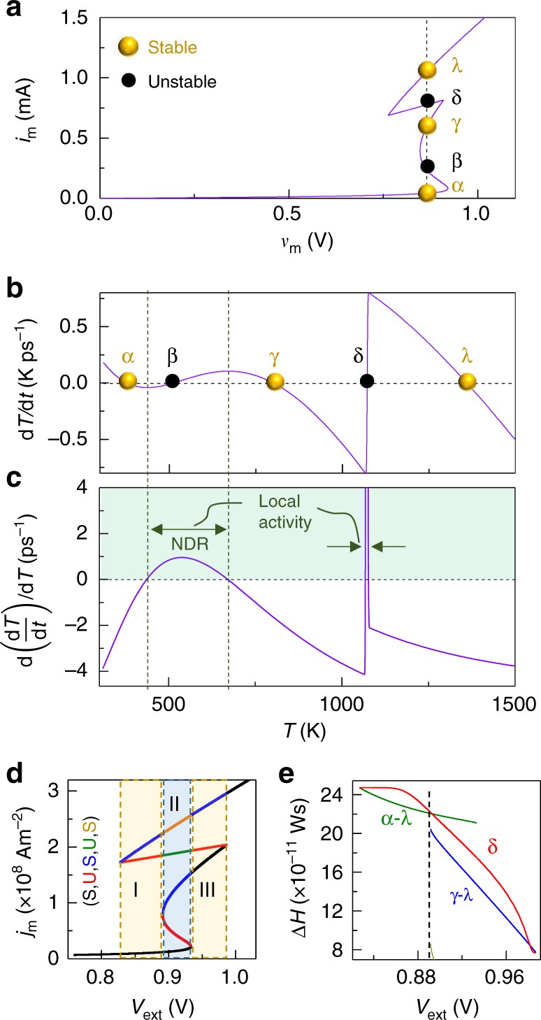
Fig. 5

Current-controlled and temperature-controlled instabilities representing NbO2. a im–vm plot obtained by solving Eqs. (1) and (2) with a Mott transition at 1070 K described by Rth. b The dynamical route map dT/dt vs. T for an applied external voltage of 0.91 V. Yellow and black spheres indicate stable and unstable steady-states, respectively. α–λ are steady-state points for an applied external voltage of 0.91 V. c \(\frac{{\mathrm{d}}}{{{\mathrm{d}}{\it{T}}}}\left( {\frac{{{\mathrm{d}}{\it{T}}}}{{{\mathrm{d}}{\it{t}}}}} \right)\) plotted against T. Green shaded region indicates positive ordinate values where local activity exists. Temperature range of negative differential resistance (NDR) is also marked. d Stable (‘S’) and unstable (‘U’) current densities corresponding to the steady-states for different applied Vext, color coded with the legend. Dashed vertical lines separate regions I–III with different sets of steady-states. e ΔH plotted against Vext for the unstable state δ and two possible decomposed configurations α–λ and γ–λ. Dashed black line indicates the voltage at which ΔH of γ−λ is lower than that of α–λ. Extended data shown in Supplementary Fig. 11