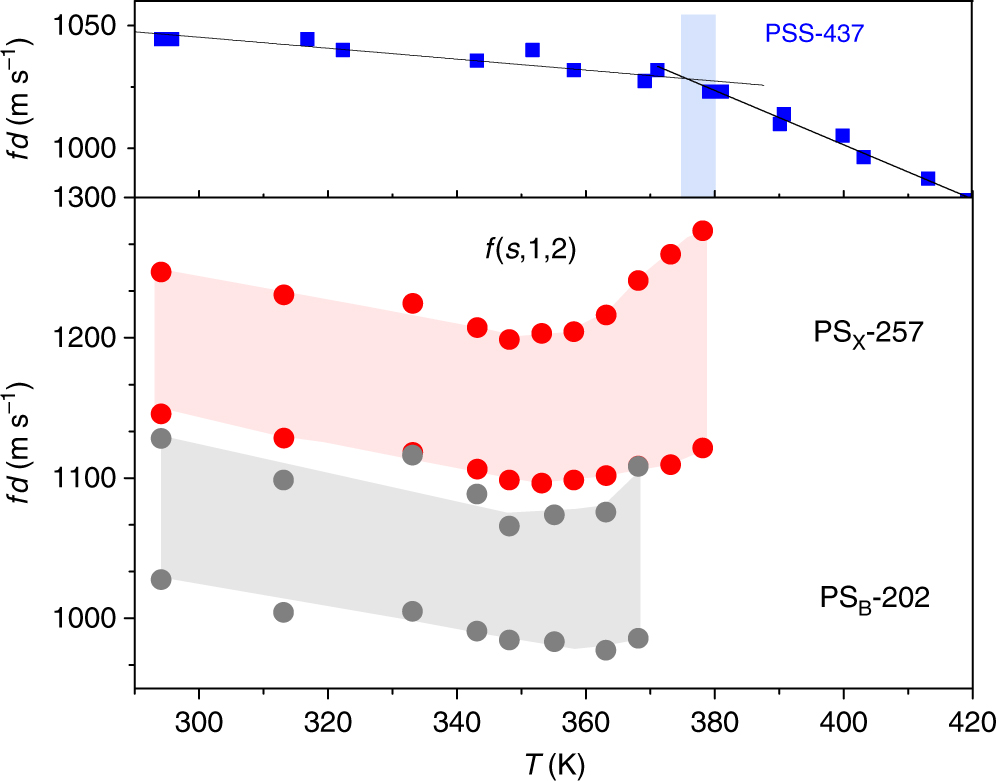
Fig. 6
From: Direct observation of polymer surface mobility via nanoparticle vibrations

The influence of chemistry on the colloid vibration. The temperature dependence of f(s,1,2) · d of PS/silica core/shell (PSS-437) particle (blue, top) with diameter d = 437 nm, that is previously reported data54, PSX-257 (red), and PSB-202 (gray). Blue filled area indicates the glass-transition temperature of PSS-437 nanoparticles. Red and gray areas highlight the gap between two Lorentzian peaks of (s,1,2) mode of PSX-257 and PSB-202, respectively