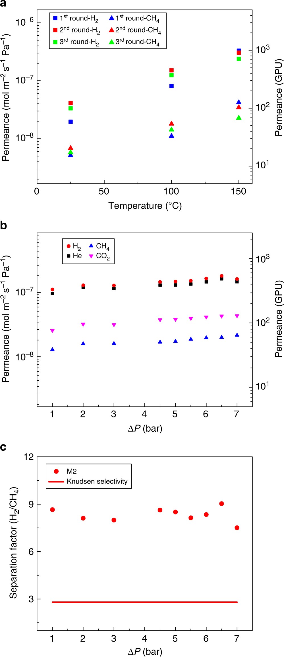
Fig. 5
From: Single-layer graphene membranes by crack-free transfer for gas mixture separation

Stability test of the graphene membrane. a H2 and CH4 permeances of the membrane M2 with three consecutive temperature cycles. Gas permeance (b) and H2/CH4 separation factor (c) from the membrane M2 as a function of transmembrane pressure difference at 100 °C