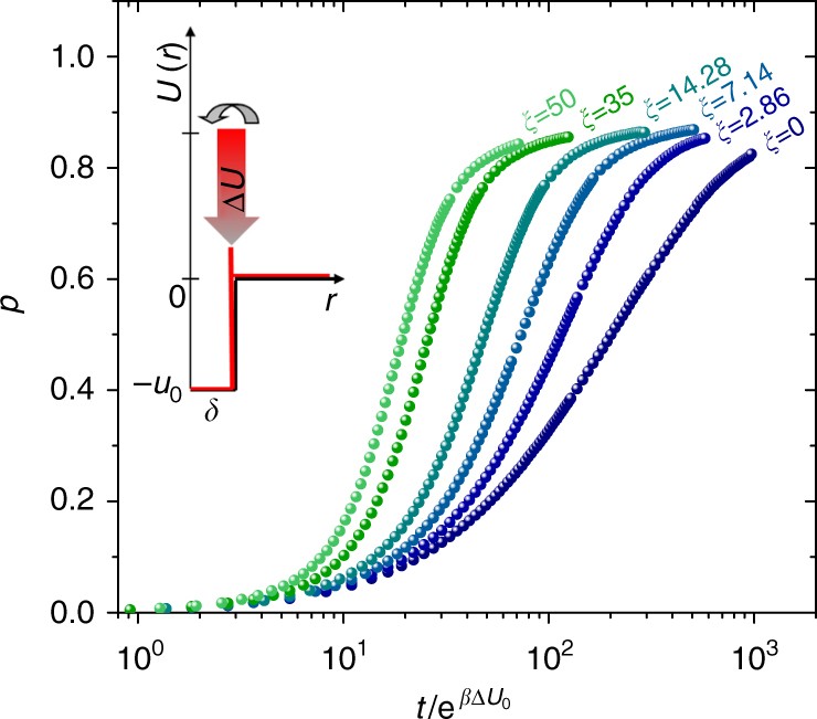
Fig. 2
From: Exploiting limited valence patchy particles to understand autocatalytic kinetics

Kinetics of autocatalytic reactions. Kinetic curves, p versus time, at fixed temperature and energy barrier (βΔU0 = 4) for different values of autocatalytic strength ξ, as indicated. Time is scaled by \({\mathrm{e}}^{\beta {\mathrm{\Delta }}U_{\mathrm{0}}}\) to highlight speed-up of the reaction due to autocatalysis. The profile of the site–site potential for bond formation, including its qualitative behavior during reaction, is sketched in the inset as a function of the inter-site distance r (Methods section)