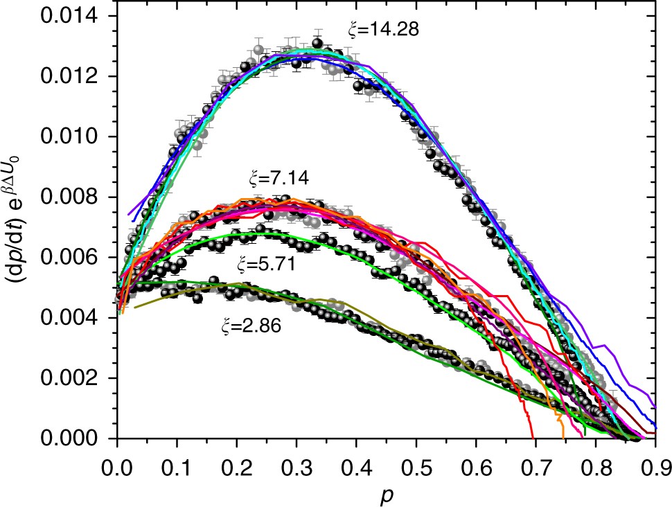
Fig. 7
From: Exploiting limited valence patchy particles to understand autocatalytic kinetics

Qualitative comparison with experimental data. Symbols: reaction rate scaled by \({\mathrm{e}}^{ - \beta {\Delta U}_0}\) obtained from simulation Colored lines: experimental data for stoichiometric formulations of epoxy–amine resins, scaled by an arbitrary factor. Discrepancy in the high p region depends on the different p dependence of the diffusion coefficient in experimental reality with respect to the simulation model