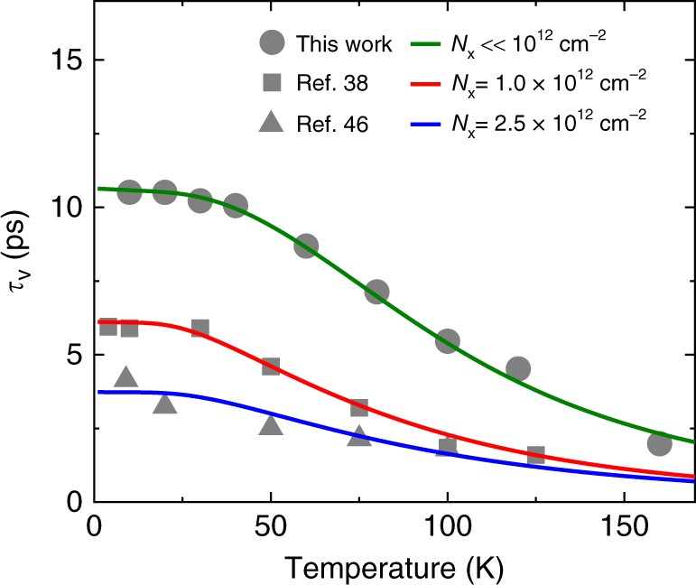
Fig. 5

Temperature dependence of exciton valley relaxation times predicted for various exciton density conditions. Temperature-dependent exciton valley relaxation times obtained for 1L-WSe2 on the quartz substrate in this study (circles), and those previously reported in ref. 38 (squares) and ref. 46 (triangles), both of which were measured using the TRKR technique. The green, red, and blue curves were reproduced using Eq. (3) and the density-dependent Γh (T, Nx) with Nx ≪ 1012 cm−2 (Γh(0, Nx) = 7.3 meV, green curve), Nx = 1.0 × 1012 cm−2 (Γh(0, Nx) = 12.7 meV), and 2.5 × 1012 cm−2 (Γh(0, Nx) = 20.8 meV, blue curve), respectively. The EF parameters were set as 13 meV (nc ≈ 2.1 × 1012 cm−2) for the green curve, 9 meV (nc ≈ 1.4 × 1012 cm−2) for the red curve, and 10 meV (nc ≈ 1.6 × 1012 cm−2) for the blue curve, respectively, to reproduce the experimental temperature dependence