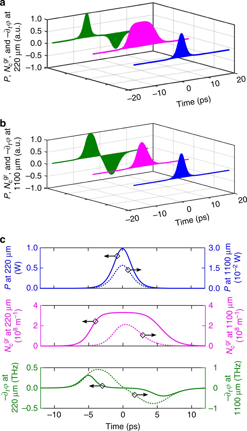
Fig. 4
From: Graphene’s nonlinear-optical physics revealed through exponentially growing self-phase modulation

Time evolution of the optical and carrier-related quantities at different distances in the graphene-covered SiO2-core waveguides: 3D illustration of the time evolution of the optical power P (blue), the graphene-generated free-carrier density \(N_{\mathrm{c}}^{{\mathrm{gr}}}\) (magenta), and the instantaneous frequency −∂t φ (green) at a 220 μm and b 1100 μm propagation distance. Both 3D graphs show normalized quantities. c Time evolution of the same quantities, but with the numerically obtained absolute values displayed and with the solid and dashed curves corresponding to, respectively, 220 and 1100 μm propagation distance