Fig. 2
From: Using controlled disorder to probe the interplay between charge order and superconductivity in NbSe2

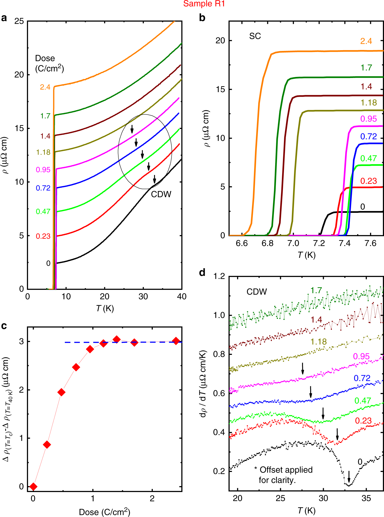
Resistivity measurement conducted on sample R1. a The temperature dependence of resistivity upon irradiation. Overall, the resistivity above the CDW transition was parallel-shifted upward suggesting that preservation of Matthiessen’s rule only occurs above the transition (see text for further discussion). b The zoom of superconducting transition area shows the increase and subsequent decrease of Tc upon irradiation. c Δρ(T=7.6K) − Δρ(T=40K) shows the disappearance of the CDW above 1.0 C cm−2. d The derivative of resistivity with respect to temperature manifests the location of the CDW transitions