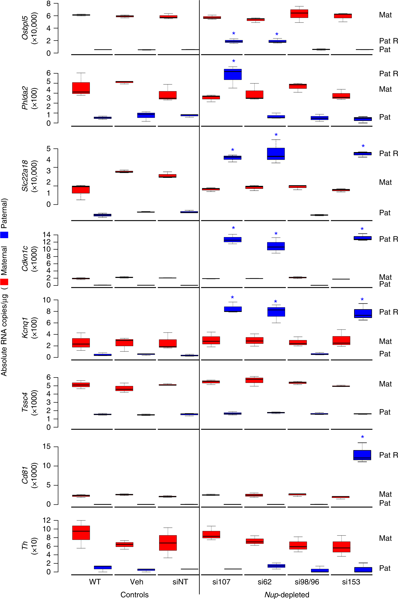
Fig. 4

Nup107, Nup62, and Nup153 depletion reactivate a subset of paternal alleles at the Kcnq1ot1 domain. Absolute allelic transcript abundance of imprinted genes determined by droplet digital PCR in control and Nup-depleted XEN cells, as a measure of RNA copies µg−1 (n = 3 biological samples). Center lines, medians; box limits, 25th and 75th percentiles as determined by R software; whiskers, 1.5 times the interquartile range from 25th and 75th percentiles; Mat, maternal; Pat, paternal; Pat R, reactivated paternally silent allele; *, significance p < 0.05 compared to the siNT control (t test). Error bars, s.e.m.