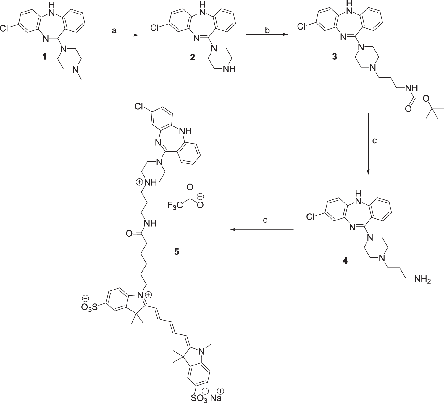
Fig. 3

Synthesis of sulfo-Cy5 fluorescently labelled derivative of clozapine. Reagents and conditions: a 1-chloroethyl chloroformate, 1,2-DCE, N2, MeOH, 0 °C → reflux, 24 h, 54%; b tert-butyl (3-bromopropyl)carbamate, NaI, DIPEA, N2, CH3CN, reflux 24 h, 80%; c TFA/DCM, RT, 1–2 h, basic workup, 97%; d sulfo-Cy5 N-hydroxysuccinimidyl (NHS) ester, DMF, RT, 12 h, 18%