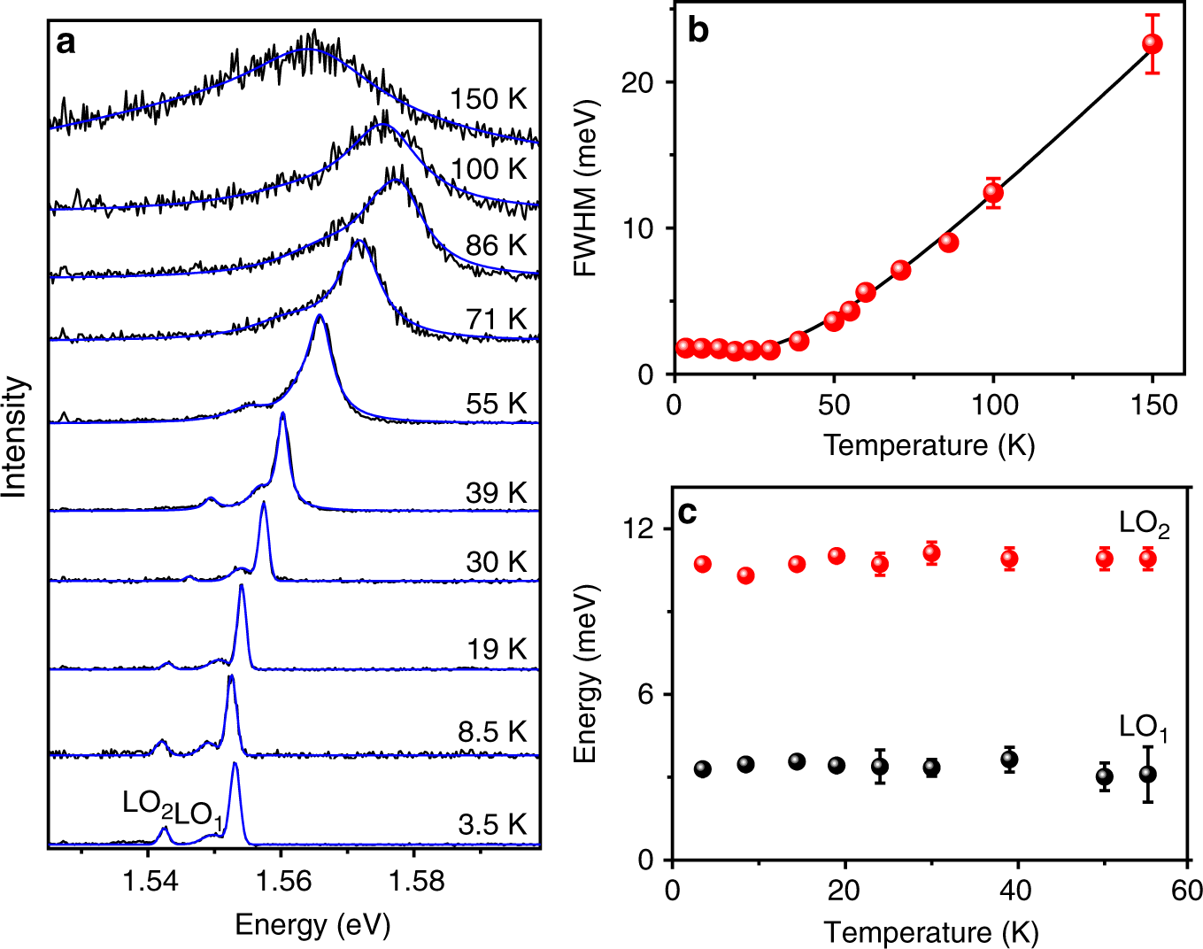
Fig. 3

Temperature dependence of the PL spectrum of a single FAPbI3 NC. a Evolution of the PL spectrum of a FAPbI3 NC with temperature. Each spectrum was recorded with an excitation intensity of 700 W cm−2. The spectra are fitted (blue lines) with Gaussian profiles up to 30 K and with Lorentzian profiles above 30 K (see text). b ZPL linewidth (FWHM) of the same NC as a function of temperature. The black line is a fitting curve taking into account only the Fröhlich coupling between the exciton and an effective LO phonon mode with energy ELO = (10.7 ± 0.8) meV. The low temperature linewidth is Γ0 = 1.5 meV. The contribution of acoustic phonon to the line broadening is negligible as σAc<5 µeV K−1. c LO1 and LO2 phonon energies as a function of temperature from 3.5 K to 55 K, deduced from the fits in a. The error bars displayed in b and c represent the fitting errors of the parameters deduced from a