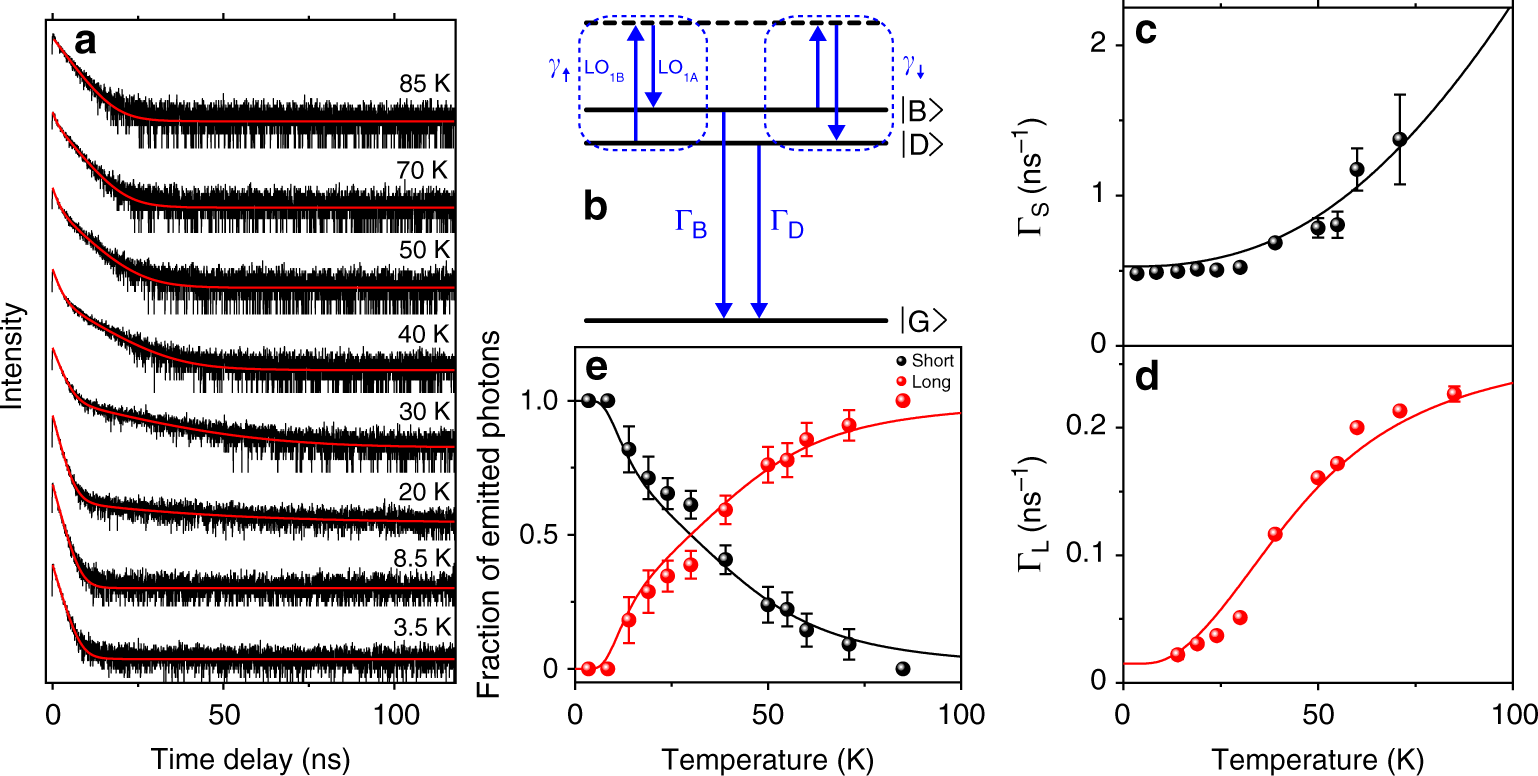
Fig. 4

Evolution of the PL decay of a single FAPbI3 NC with temperature. a PL decays of the same FAPbI3 NC at various temperatures, under pulsed excitation at 488 nm with an average intensity of 30 W cm−2. A log-log scale representation is displayed in Supplementary Fig. 12. b The three-states model. \(\left| {\mathrm{G}} \right\rangle\) is the zero-exciton state, \(\left| {\mathrm{D}} \right\rangle\) and \(\left| {\mathrm{B}} \right\rangle\) are the lowest dark and bright excitons with recombination rates ΓD and ΓB, respectively. ∣D⟩ and ∣B⟩ are thermally mixed with a two-LO-phonon process with rates γ↑ and γ↓. c Temperature dependence of the fast decay rate ΓS and d of the slow decay rate ΓL. The plain curves are simulations with the two-phonon thermal mixing model, taking ΓB = 0.53 ns−1, ΓD = 0.015 ns−1, γ0 = 0.16 ns−1, ELO1A = 3.3 meV, ELO1B = 3.6 meV. e Temperature dependence of the fractions of emitted photons with fast and slow decay rates. The solid lines are derived from the three-level model with the same set of parameters. The error bars displayed in c, d and e represent the fitting errors of the parameters deduced from a