Fig. 4
From: Quantifying the role of surface plasmon excitation and hot carrier transport in plasmonic devices

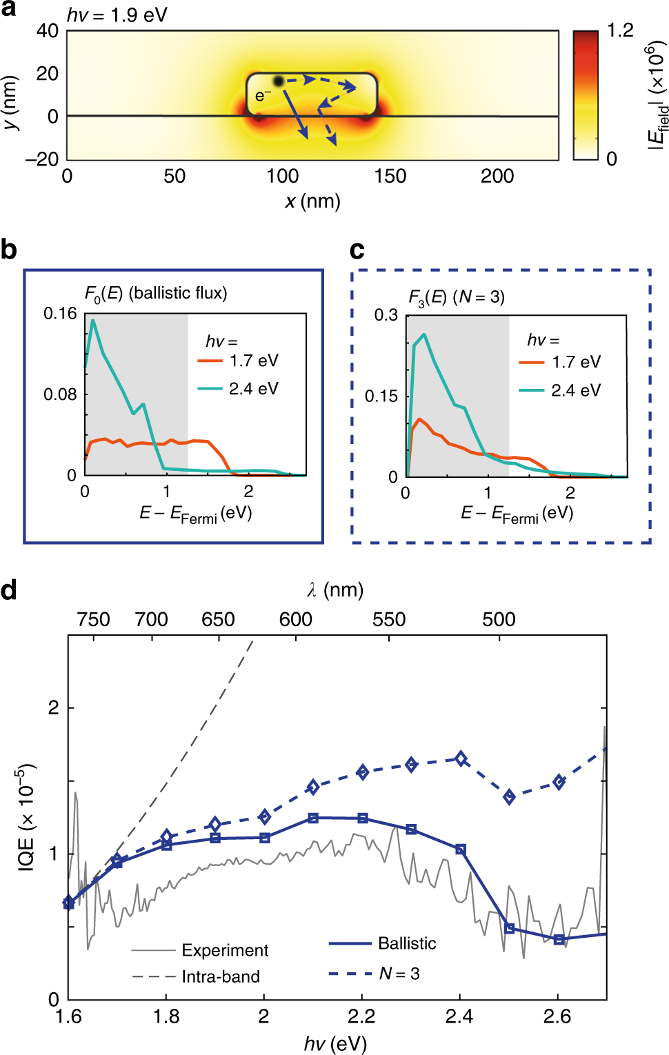
Hot electron generation and transport in plasmonic nanoantennas. a Calculated spatial profile of the electric field norm |Efield| at resonance (λ = 650 nm, hν = 1.9 eV, E0 = 2.56 × 105 V m−1) for the experimental structure with W = 61 nm and P = 230 nm. |Efield| in the metal defines the spatial generation profile of the hot carriers. As schematically illustrated, hot electrons then propagate across the metal structure and reach the Au–GaN interface either ballistically (solid arrow) or after scattering (dashed arrows); b energy-resolved flux of hot electrons reaching the Au–GaN interface ballistically for photon energy of 1.7 eV (orange curves, weak interband contribution) and 2.4 eV (turquoise curves, strong interband contribution). The shaded area shows the position of the Schottky barrier; c same as b but including the flux of carriers that have undergone up to N = 3 scattering events; d IQE spectra calculated based on the computed energy-resolved fluxes, both for the ballistic case (blue solid curve) and for N = 3 (blue dashed curve), under the assumption of tangential momentum conservation for the injection probability21. The gray dashed curve represents the IQE estimated based on the fit of Fowler yield, IQEFowler = C·(hν−ΦB)2/hν with ΦB ~1.2 eV and C = 6.7 × 10−5. The gray solid curve is the experimentally determined IQE (Fig. 2g, blue curve)