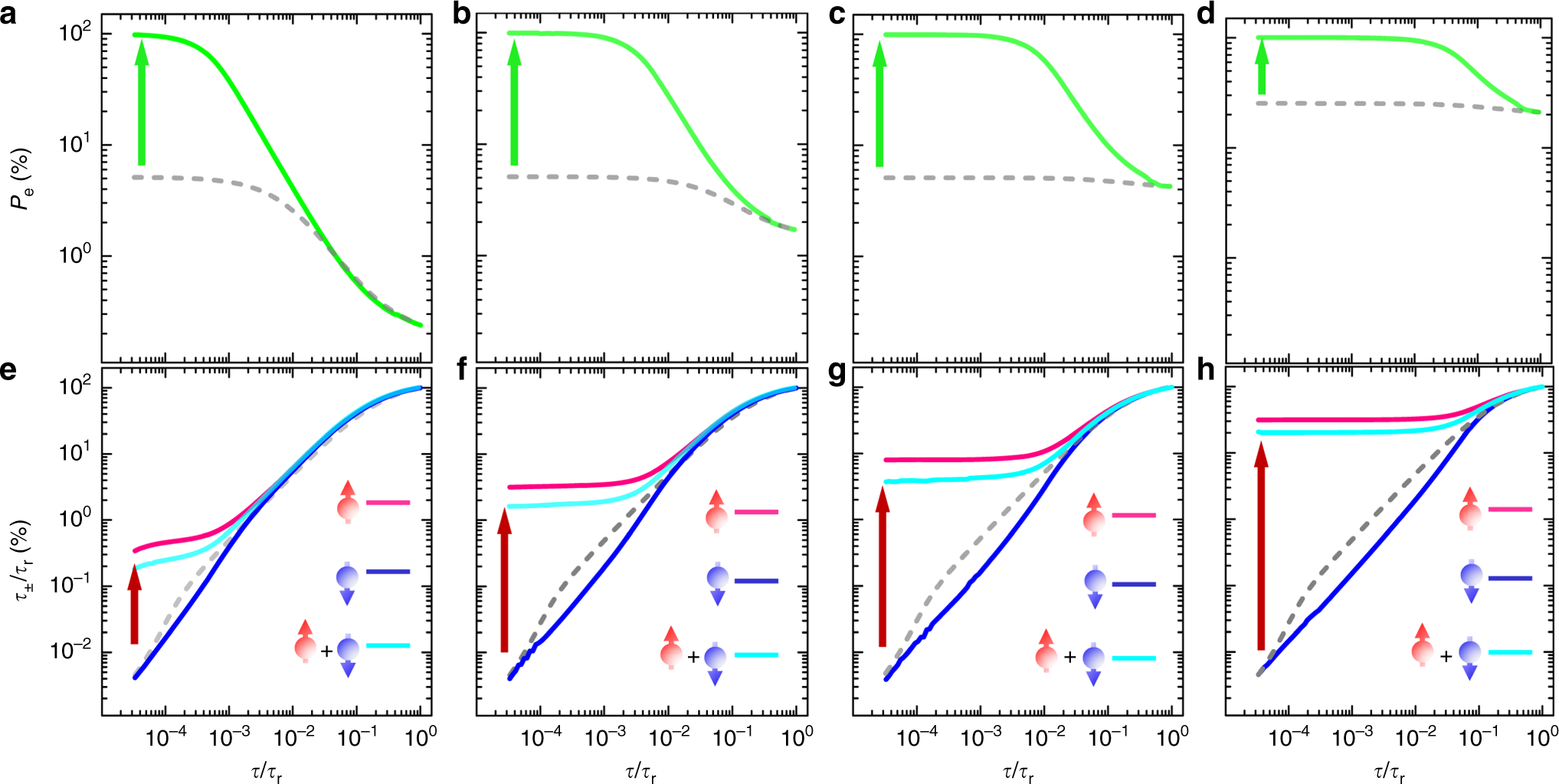
Fig. 5

Spin polarization versus internal quantum efficiency. a–d Conduction band electron spin polarization Pe. e–h Radiative recombination efficiency of the majority-spin (spin-up) and minority-spin (spin-down), η± = τ±/τr, as well as the total radiative recombination efficiency. They are plotted as a function of τ/τr, calculated from the rate equation analysis using the following parameters: a, e τsc = 2τs, τr = 10τsc, \(P_{\mathrm{e}}^0 = 5{\mathrm{\% }}\); b, f τsc = 2τs, τr = τsc, \(P_{\mathrm{e}}^0 = 5{\mathrm{\% }}\); c, g τsc = 2τs, τr = 0.1τsc, \(P_{\mathrm{e}}^0 = 5{\mathrm{\% }}\); d,h, τsc = 2τs, τr = 0.1τsc, \(P_{\mathrm{e}}^0 = 25{\mathrm{\% }}\). τr is fixed at 3000 ps in all cases, and \({\textstyle{1 \over \tau }} = {\textstyle{1 \over {\tau _{\mathrm{r}}}}} + \gamma _{\mathrm{e}}N_{\mathrm{c}}\). The simulations corresponding to the cases with (without) the defect-mediated SDR are displayed by the colored solid lines (the gray dashed lines). The green and red vertical arrows indicate the enhancements of electron spin polarization and radiative recombination efficiency induced by the few-defect-mediated SDR effect, respectively