Fig. 2
From: Extreme–ultraviolet high–harmonic generation in liquids

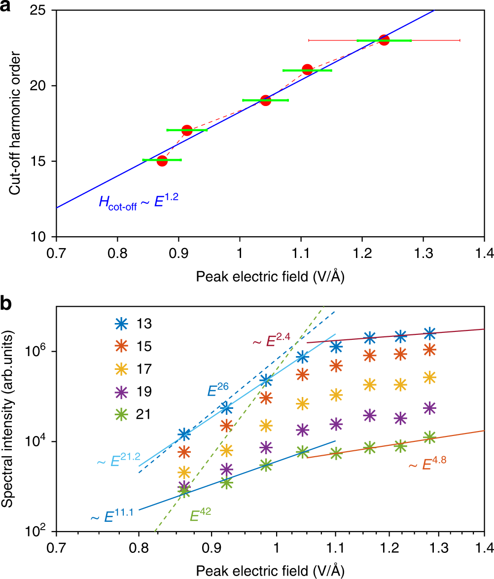
Non–perturbative high–order–harmonic generation from liquids. a Cut–off photon-energy dependence on peak electric field strength inside the medium (red dots). A typical absolute (total, approximated, propagated value of multiple measurements performed under identical experimental conditions) error bar of the electric field strength is displayed as a horizontal solid red line. Relative error bars are displayed as horizontal solid green lines. A linear fit of the high harmonic cut-off photon energy (Hcut-off) performed on a double-logarithmic scale is shown as the solid blue curve on a double-linear scale. b Dependence of the emitted intensity of individual harmonic orders on the peak–electric–field strength. A linear fit to the first four and the last three data points of H13 and H21 are shown on a double-logarithmic scale. Dashed lines represent the scaling law expected for a perturbative response. Liquid ethanol was used as a sample for all data shown here