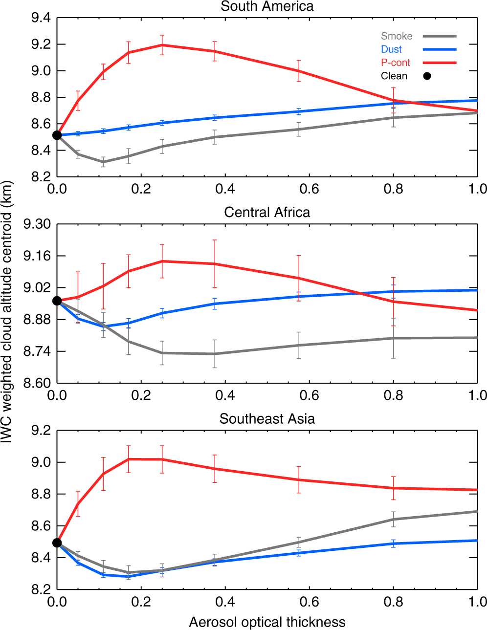
Fig. 3
From: Contrasting effects on deep convective clouds by different types of aerosols

Non-monotonic responses of convective cloud to aerosol perturbation in different aerosol environments. IWC weighted altitude centroid for smoke aerosol (gray line), dust aerosol (blue line) and polluted continental aerosol (red line) as a function of aerosol optical thickness (AOT) for SAM (top panel), CAF (middle panel) and SEA (lower panel). The AOT includes aerosols above 500 m over the surface, see Methods section for details. The error bars denote the standard errors of the bin average