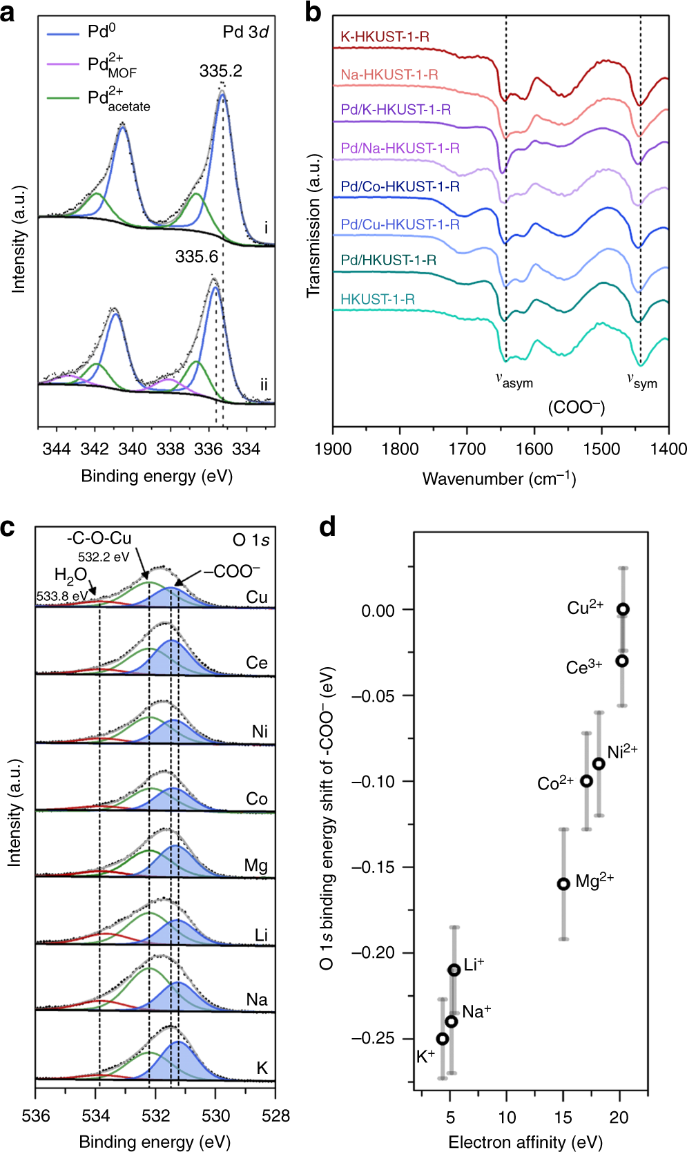
Fig. 4

Spectroscopic characterisation of Pd/HKUST-1-R and Pd/M-HKUST-1-R. a XPS Pd 3d spectra of (i) bare Pd NPs (Supplementary Fig. 8) and (ii) Pd/HKUST-1-R. b FTIR spectra of HKUST-1-R and its various derived products. c XPS O 1s spectra of the various cation-exchanged Pd/M-HKUST-1-R. d Shift in O 1s binding energy with respect to the EA of the counterions. The error bars represent the standard deviations of the data points (n = 3)