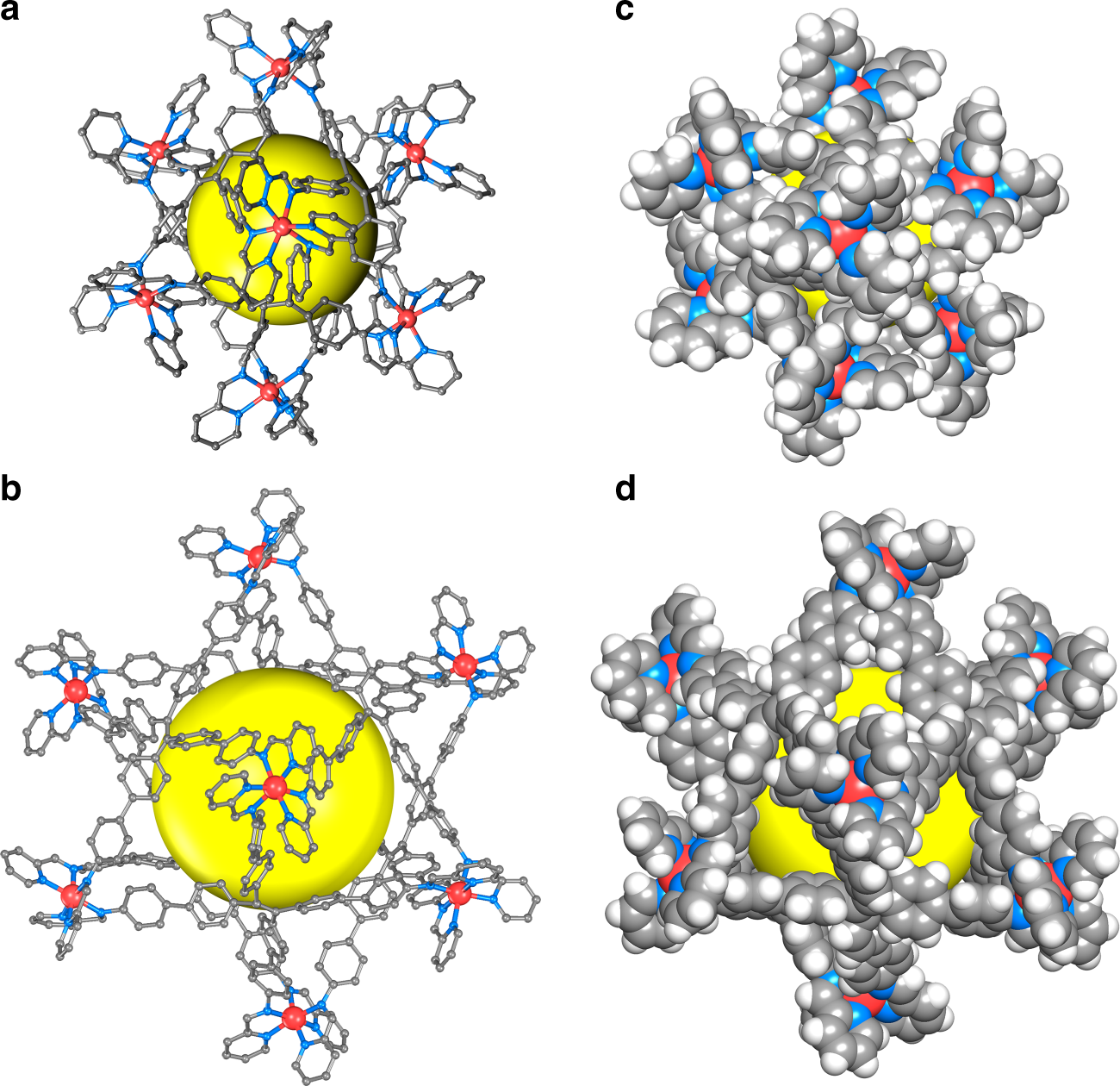
Fig. 2
From: Design and self-assembly of hexahedral coordination cages for cascade reactions

Single-crystal X-ray structures. a TPE-1, b TPE-2; c, d their space-filling models (the cavities are highlighted by yellow spheres). Color coding: Orange, Zn; Blue, N; Gray, C; White, H