Fig. 4
From: Gene inversion potentiates bacterial evolvability and virulence

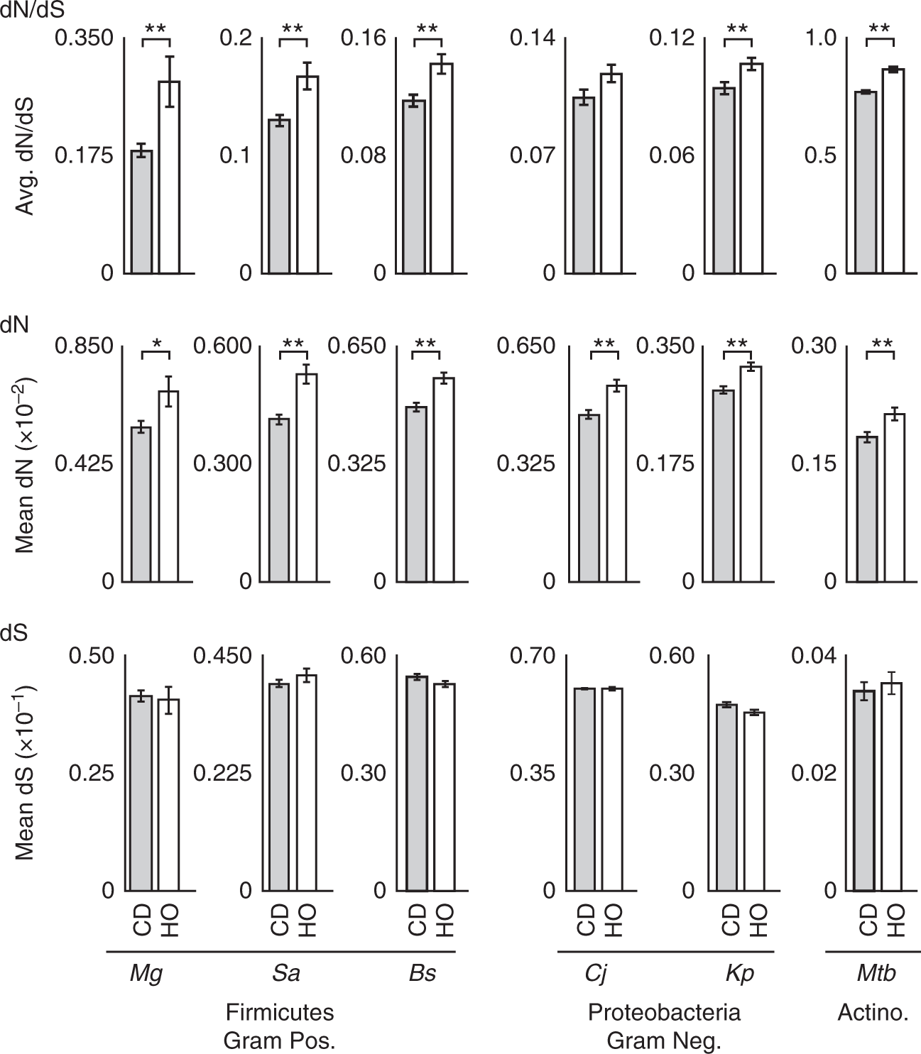
Head-on genes evolve at an accelerated rate across phyla. Whole-genome mutational analysis including the dN/dS ratio, rate of non-synonymous mutations (dN), and rate of synonymous mutations (dS) are shown. Values were calculated for core genes that are ≥95% conserved in both length and amino acid sequence using at least 10 complete genomes per species. Additional species information including naming abbreviations and the number of core genes analyzed per species are available in Supplementary Table 2. Error bars represent the standard error of the mean. Statistical significance was determined by the two-tailed Z-test. *p < 0.05. **p < 0.01