Fig. 3
From: Double dative bond between divalent carbon(0) and uranium

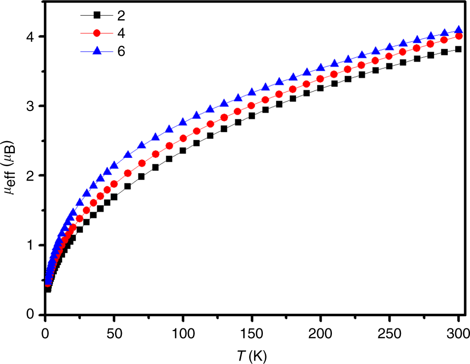
Magnetic characterization data. Variable-temperature SQUID magnetization data of complex 2 (black square), complex 4 (red circle), and complex 6 (blue triangle) at 0.1 T. Lines are a guide to the eye only