Fig. 5
From: Electrical appliances moderate households’ water demand response to heat

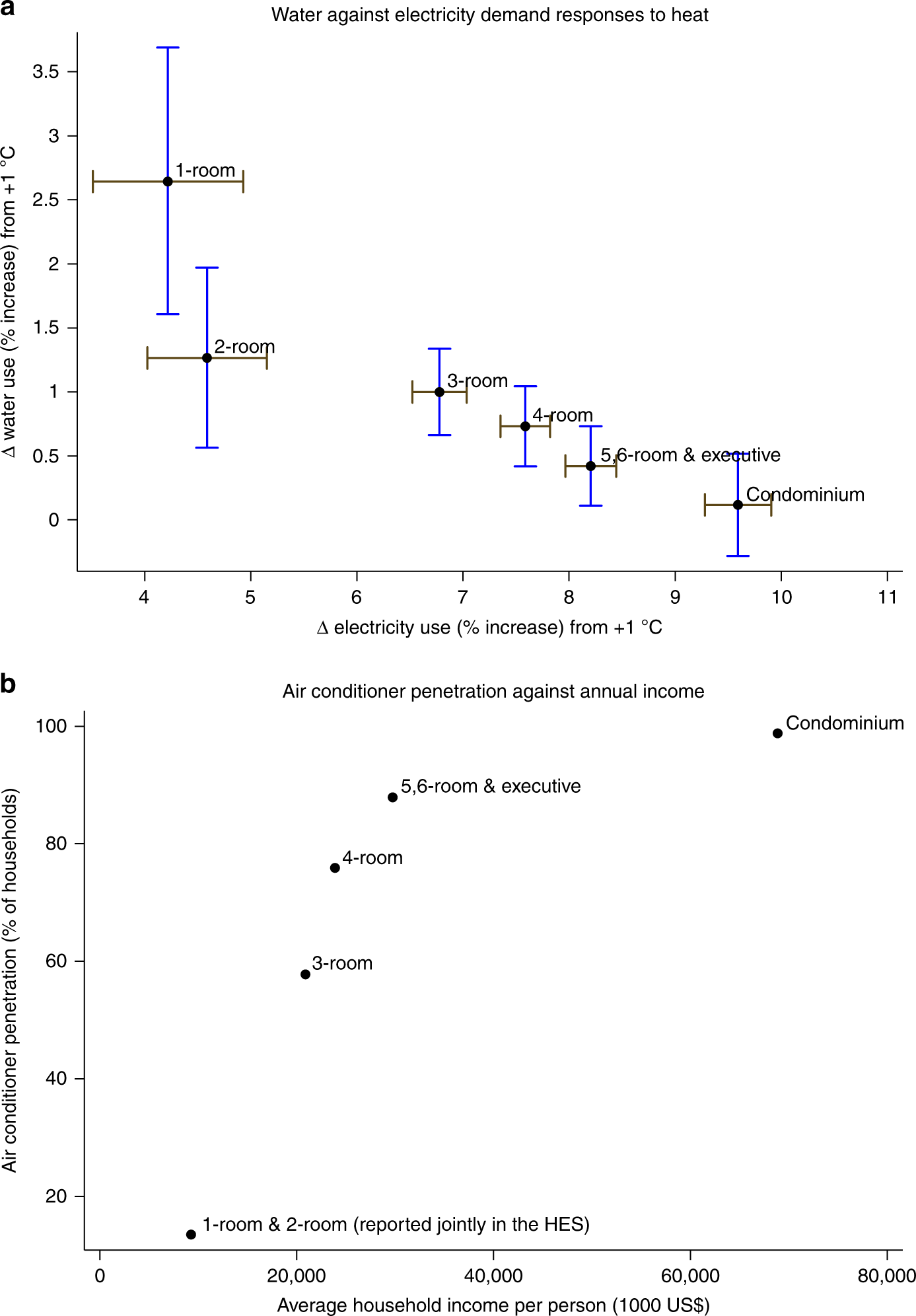
Water versus electricity demand responses to heat by type. a 95% Confidence intervals for the percent increase in water demand against the percent increase in electricity demand, by apartment type, from a +1 °C variation. The variable of interest, average temperature over the usage period, enters flexibly interacted with a set of indicators for the different apartment types. The empirical support for average temperature is 26.1–29.1 °C. The regression models control for household, time (month, year, day-of-the-week, public holidays, and school holidays), weather (relative humidity, dew point depression, wind speed, and precipitation), and PM2.5. I specify interactions between apartment-type indicators and controls for year and school holidays. b Air-conditioner penetration (%) and mean annual household income per person (1000 US$) by apartment type, reported in Table 53 and Chart 2.2c of the 2012/2013 Household Expenditure Survey. Source data for panel b are also provided as a Source Data file