Fig. 8
From: Room temperature multi-phonon upconversion photoluminescence in monolayer semiconductor WS2

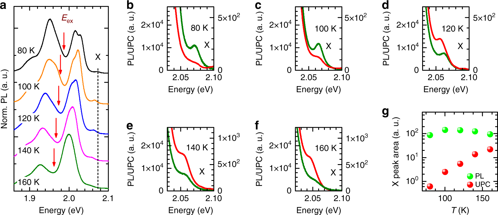
Temperature dependence of upconverted emission with the energy gain of 87 meV. a Schematic representation of the experiment: typical PL spectra with indicated by red arrows excitation energies used in UPC measurements at corresponding temperatures. b–f Examples of normal (green line, left vertical scale) and upconversion (red line, right vertical scale) photoluminescence spectra recorded at 80 K, 100 K, 120 K, 140 K, 160 K, respectively. g The normal (green circles) and upconverted (red circles) excitonic photoluminescence integrated intensities as a function of temperature from 80 K to 160 K