Fig. 5
From: Spin-Orbit induced phase-shift in Bi2Se3 Josephson junctions

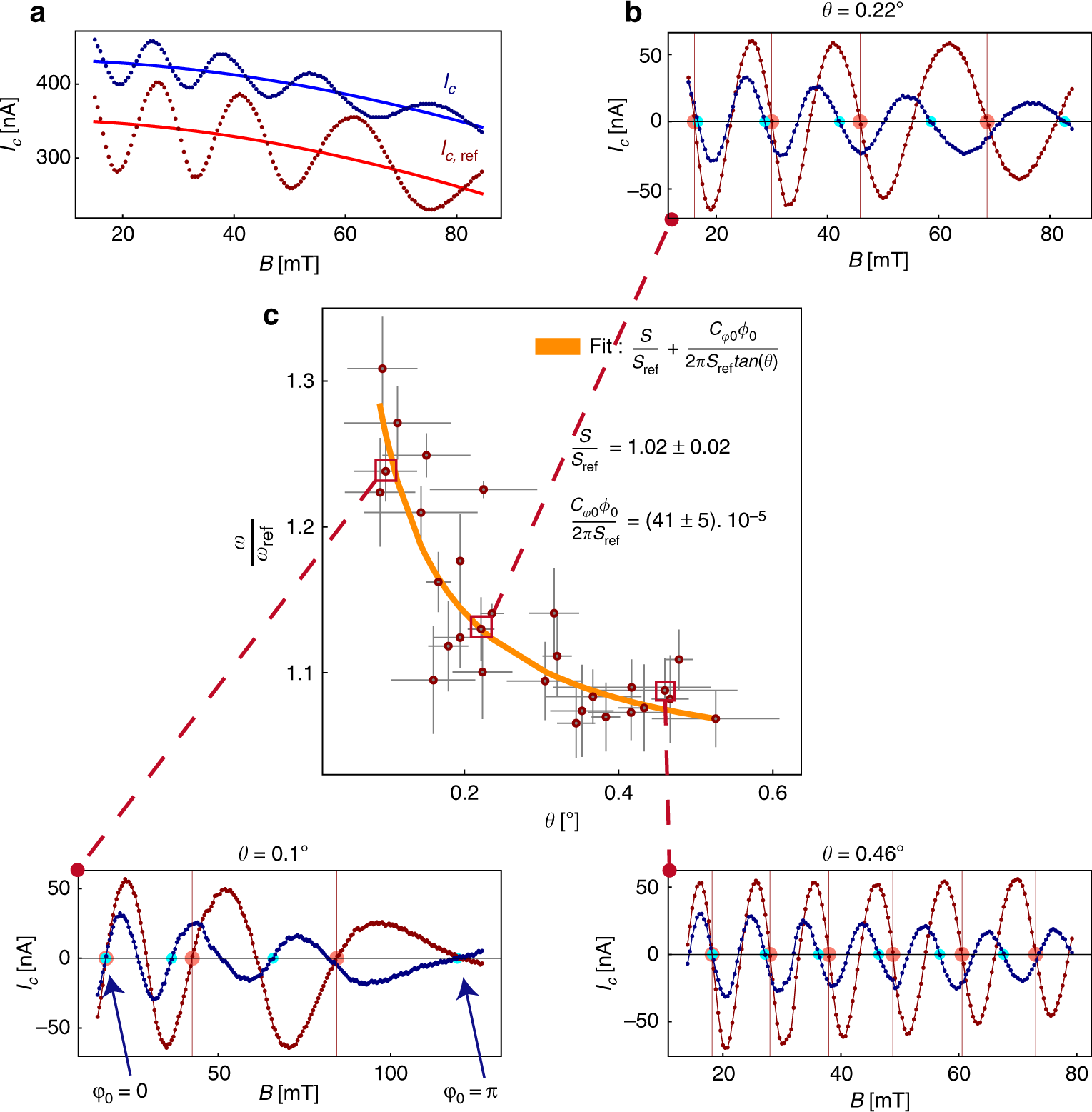
Comparison of the JIs frequencies as a function of the angle θ. a The critical current is extracted and shown as a function of magnetic field. The red and blue curves correspond to the reference and anomalous device, respectively. As the critical current of the large junction decreases with the magnetic field, this leads to a decreasing background fitted for both devices and shown by the continuous lines. b Critical current as a function of magnetic field where the background, indicated by continuous lines in panel a, are subtracted. The anomalous device shows a larger oscillation frequency than the reference device. The colored dots help to visualize the increased frequency of the anomalous device (blue dots) with respect to the reference device (red dots). The two JIs are in-phase at low magnetic field and become out-of-phase at high magnetic field, with an anomalous phase shift reaching \(\varphi _0 \simeq \pi\) for \(B \simeq 100\,{\mathrm{mT}}\). The periods are compared one by one and the average of the single period ratios provides the value \(\frac{\omega }{{\omega _{{\mathrm{ref}}}}}\). c The ratio of the oscillation frequencies is plotted as a function of the angle θ. Without the generation of an anomalous phase, this ratio should be constant and equal to the surface ratio \(\frac{S}{{S_{{\mathrm{ref}}}}} \simeq 1\). This ratio diverges as \(\frac{1}{\theta }\) for small θ, as shown by Eq. (3). Fitting the curve with Eq. (3) provides the spin-orbit coefficient α