Fig. 2
From: Structural elements of a pH-sensitive inhibitor binding site in NMDA receptors

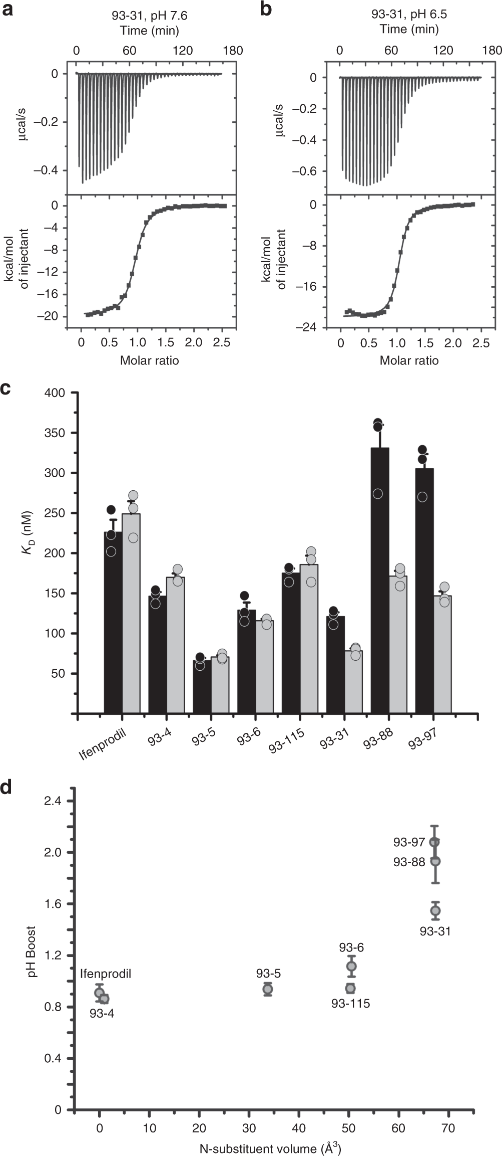
ITC titrations of the GluN1/GluN2B ATD with different ligands at pH 7.6 and 6.5. Representative ITC isotherms of the isolated GluN1-GluN2B ATD titrated with 93-31 at pH 7.6 (a) and 6.5 (b). The average dissociation constant (KD) for 93-31 at pH 7.6 was 121 ± 5.1 nM, which drops to 78.4 ± 2.97 nM at pH 6.5 (Table 1). c Dissociation constants for various 93-series ligands at pH 7.6 (black bar) and pH 6.5 (gray bar). d The ratio of the KD at pH 7.6 to the KD at 6.5 (pH-boost) is shown as a function of N-substituent volume. For all panels, error bars represent mean ± S.E.M. All experiments were performed in triplicate