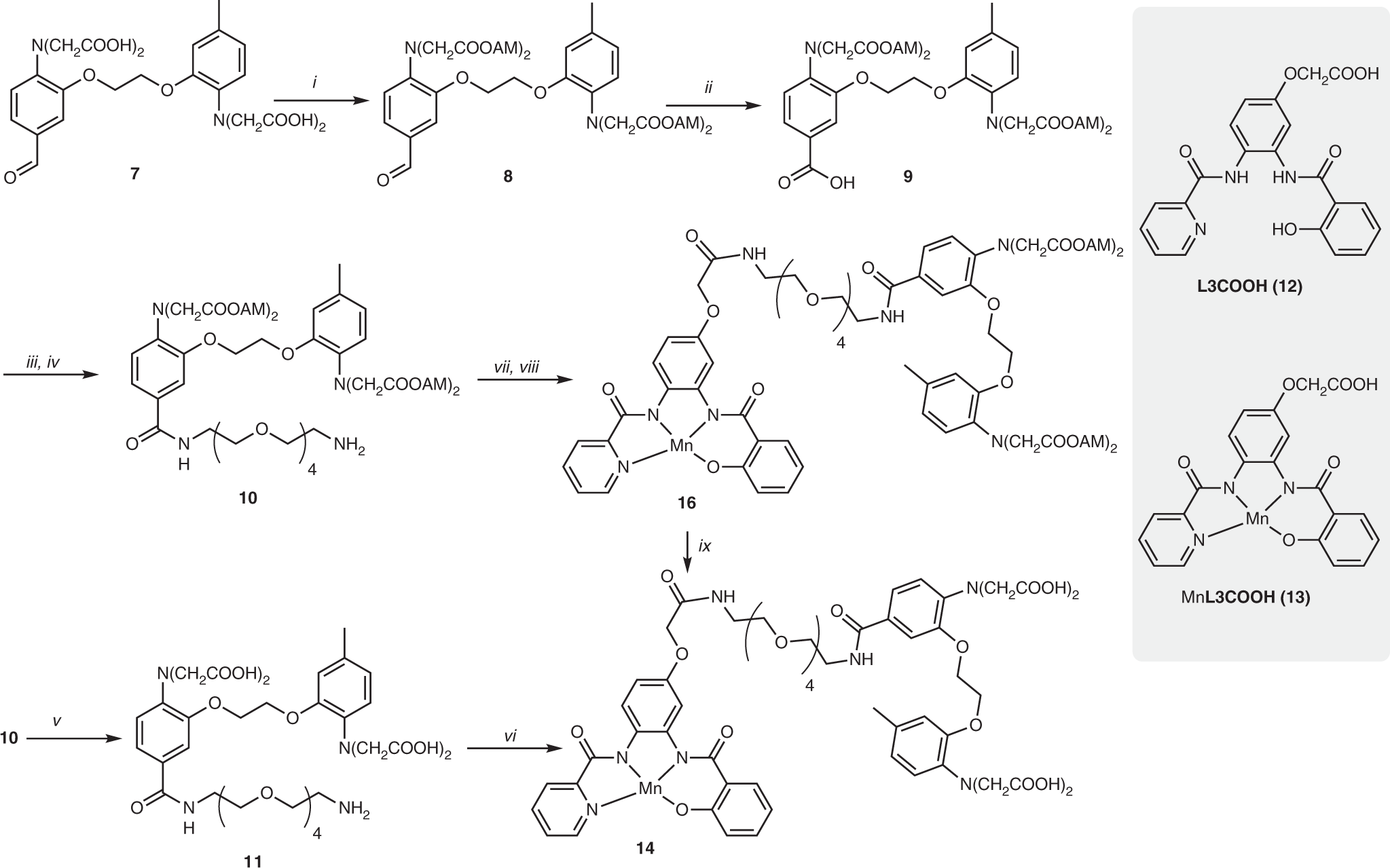
Fig. 2
From: Sensing intracellular calcium ions using a manganese-based MRI contrast agent

Synthesis of ManICS1 and ManICS1-AM. i) AcOCH2Br, DIEA (67%); ii) NaH2PO4, NaClO2 (95% yield); iii) PyBOP, DIEA, NH2-PEG4-NHBoc (63%); iv) TFA, DCM (98%); v) NaOH (6 eq), H2O (77%); vi) MnL3COOH (13), HATU, DIEA (33%); vii) L3COOH (12), PyBOP, DIEA (67%); viii) Mn(OAc)3.2(H2O) (77%); ix) 10% (v/v) cell lysate, MOPS (25 mM, pH 7.9). Additional details described in Supplementary Methods