Fig. 5
From: Probing hydrogen bond strength in liquid water by resonant inelastic X-ray scattering

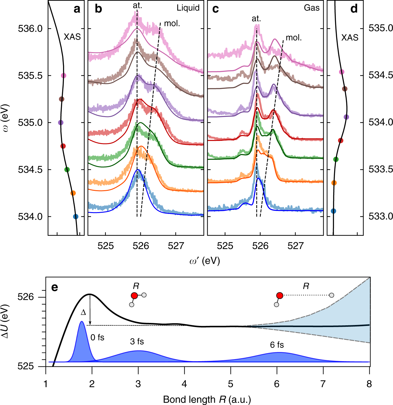
Dynamical origin of the splitting of the 1b1 peak. Comparison of the dispersion of the split components in experimental RIXS spectra of liquid (b) and gas-phase water (c) at the pre-edge region. The panels a, d indicate the corresponding excitation energies in the XAS pre-edge region for liquid and gas-phase water. c includes theoretical gas-phase RIXS spectra (solid lines). Solid lines in the b show liquid spectra σliquid(ω′, ω) calculated by convolution of the experimental gas-phase spectra σgas(ω′, ω) with the structure function \(\rho (\omega _1{\prime} - \omega \prime )\) (see Eq. (8)) with γ(FWHM) = 0.35 eV. Both liquid (b) and gas-phase (c) spectra display a nondispersive component (pseudo-atomic peak) and a molecular band following the Raman dispersion law. e illustrates schematically how the pseudo-atomic peak is formed near equilibrium (R = 3 a.u.) as the PECs of the core-excited Uc(R) and final Uf(R) states become almost parallel: ΔU = Uc(R) − Uf(R) ≈ const. The parameter Δ ≈ 0.45 eV is the splitting between molecular and pseudo-atomic peaks on top of the XAS resonance