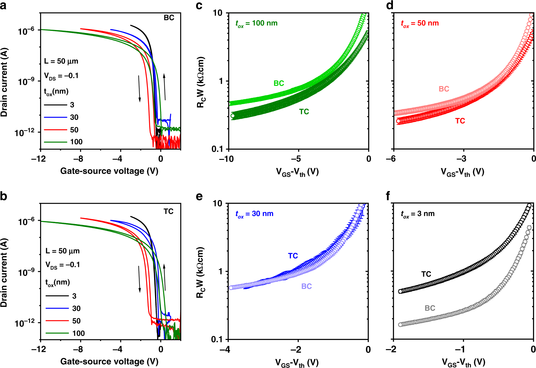
Fig. 3

Bottom-contact and top-contact DPh-DNTT TFTs with different gate-dielectric thicknesses. The TFTs have gate-oxide thicknesses (tox) of 3, 30, 50, and 100 nm, a channel length of 50 µm, and a channel width of 200 µm. a, b Transfer characteristics measured in the linear regime of operation (VDS = −0.1 V). c–f Channel-width-normalized contact resistance (RCW) of TFTs with channel lengths ranging from 6 to 50 µm extracted in the linear regime of operation (VDS = −0.1 V) and plotted as a function of the gate-overdrive voltage (VGS−Vth), showing the influence of the gate-dielectric thickness on the contact resistance. For the smallest gate-oxide thickness of 3 nm, the contact resistance of the bottom-contact (BC) TFTs is smaller than that of the top-contact (TC) TFTs