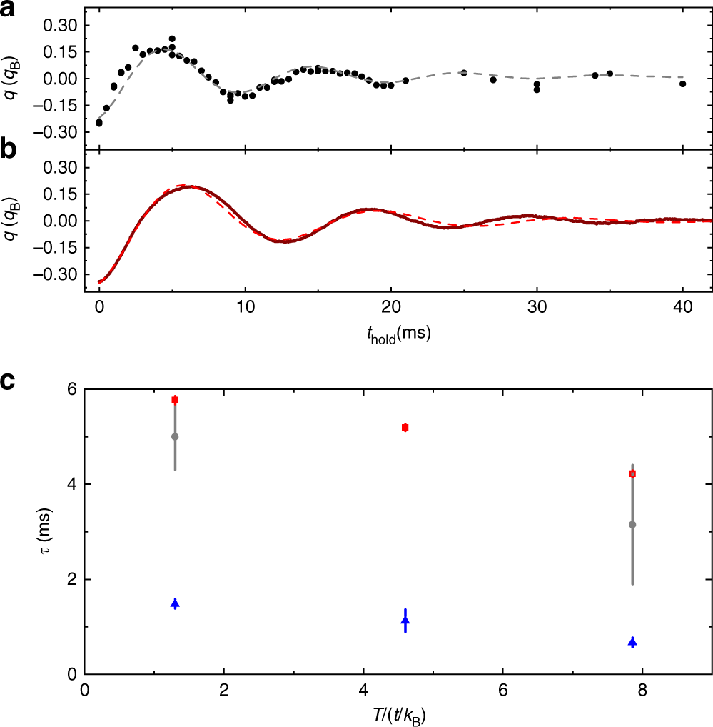
Fig. 6

Dephasing of motion for a non-interacting gas in an s = 4 lattice. a Measured average quasimomentum q along the impulse direction for a spin-polarized (non-interacting) gas. For these data, N ≈ 42,000 and T/TF ≈ 0.25 in the trap before turning on the lattice. The line is a fit used to determine the dephasing time. b Simulated average quasimomentum q along the impulse direction for a non-interacting gas. For this simulation, \(\tilde T = 1.3\left( {t/k_{\mathrm{B}}} \right)/3\) and \(\tilde \mu = 4.5t/3\) in the lattice. The deviation of the fit at long times is a result of the anharmonicity of the lattice gas, which is not accounted for in the fit. c Comparison of dephasing and transport lifetime τ at different temperatures. The dephasing time measured using a spin-polarized gas are shown using red circles, and the measured transport lifetime for a spin-mixed gas is shown using blue triangles. The simulated dephasing time is plotted using gray squares. For the simulated time, the temperature is three times smaller than the value on the abscissa. The chemical potentials used in the simulation are 4.5t/3, −4.5t/3, and −18.2t/3. The error bars represent the uncertainty in the fit used to determine τ