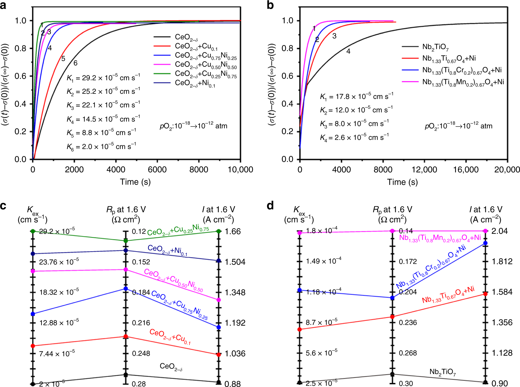
Fig. 3
From: Enhanced carbon dioxide electrolysis at redox manipulated interfaces

Oxygen transfer at interfaces tested using electrical conductivity relaxation. a, b Normalized conductivity profiles of reduced Ce0.9(Cu1−xNix)0.1O2−δ (x = 0–0.1) and TiO2 system (Nb2TiO7, NbTi0.5Ni0.5O4, NbTi0.4Cr0.1Ni0.5O4, and NbTi0.4Mn0.1Ni0.5O4). c, d The relationship between surface exchange coefficient (Kex) and polarization resistance or current density at 1.6 V