Fig. 5
From: Spontaneous current constriction in threshold switching devices

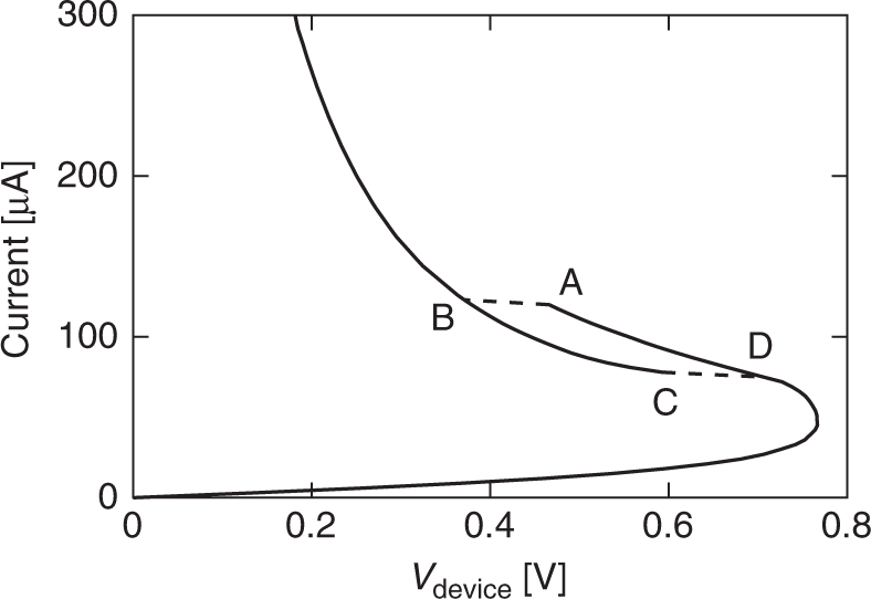
Simulated quasi-DC I–V of 200 nm diameter VO2 device with current source. Source data are provided as a Source Data file
From: Spontaneous current constriction in threshold switching devices

Simulated quasi-DC I–V of 200 nm diameter VO2 device with current source. Source data are provided as a Source Data file